Ціль:

Перевірка точності обчислень геометричних характеристик суцільного рівностороннього трикутного поперечного перерізу.

Література:

А.А. Уманский, Справочник проектировщика расчетно-теоретический, 1973, книга 1.

Формулювання задачі:

Для суцільного поперечного перерізу з формою рівностороннього трикутника перевірити точність обчислення геометричних характеристик.

Геометрія:

b = 40 см.

Aналітична схема

Модель в Конструкторі перерізів

Aналітична схема
Модель в Конструкторі перерізів

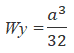
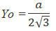
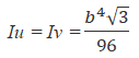
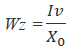
Аналітичне рішення:

yb = zb = 0
X0 = a/2

Порівняння результатів розрахунку:

Параметр Теорія LIRA-FEM Похибка, %
Площа, A см2 692,82 692,82 0
Момент інерції відносно центральної осі U, Iu см4 46188,021 46188,021 0
Момент інерції відносно центральної осі V, Iv см4 46188,022 46188,022 0
Крутильний момент інерції, It см4 55425,625 55518,52 0,1673
Радіус інерції відносно головної осі Y1, Ry мм 81,649 81,65 0,0012
Радіус інерції відносно головної осі Z1, Rz мм 81,649 81,65 0,0012
Момент опору відносно головної осі Y1, Wy см3 2000 2000 0
Момент опору відносно головної осі Z1, Wz см3 2309,401 2309,401 0
Координата x центру тяжіння в поточній системі координат, X0 мм 200 200 0
Координата y центру тяжіння в поточній системі координат, Y0 мм 115,47 115,47 0
Координата центру крутіння по осі Y, yb см 0 0 0
Координата центру крутіння по осі Z, zb см 0 0 0

Завантажити приклад


Помилка в тексті? Виділіть її та натисніть Ctrl + Enter, щоб повідомити нам.



Коментарі

Написати