Перевірка точності обчислень геометричних характеристик тонкостінного холодногнутого С-подібного поперечного перерізу.
Для тонкостінного холодногнутого С-подібного поперечного перерізу перевірити точність обчислення геометричних характеристик.
b = 12 см; h = 10,2 см; c = 2,6 см; r = 1 см; t = 0,2 см.
|
Aналітична схема
|
Модель в Конструкторі перерізів
|
Крок тріангуляційної сітки 10 мм.
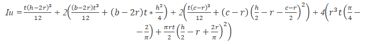
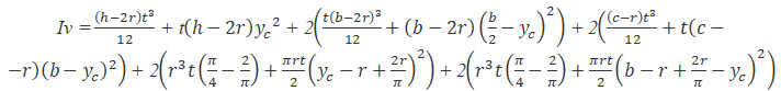
| A = 2πrt + ht - 8rt + 2bt + 2ct | |
|
|
|
|
|
|
|
|
|
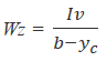
| Wy = Iu / 0,5h |
|
| Ip = Iu + Iv |
|
|
| Параметр | Теорія | LIRA-FEM | Похибка, % |
| Площа, A см2 | 7,536 | 7,53 | 0,0796 |
| Момент інерції відносно центральної осі U, Iu см4 | 148,661 | 148,321 | 0,2287 |
| Момент інерції відносно центральної осі V, Iv см4 | 150,689 | 150,232 | 0,3033 |
| Крутильний момент інерції, It см4 | 0,1 | 0,1 | 0 |
| Радіус інерції відносно головної осі Y1, Ry мм | 44,415 | 44,39 | 0,0563 |
| Радіус інерції відносно головної осі Z1, Rz мм | 44,717 | 44,68 | 0,0827 |
| Момент опору відносно головної осі Y1, Wy см3 | 29,149 | 28,523 | 2,1476 |
| Момент опору відносно головної осі Z1, Wz см3 | 22,173 | 21,781 | 1,7679 |
| Полярний момент інерції, Ip см4 | 299,35 | 299,35 | 0,2662 |
| Полярний радіус інерції, ip см | 63,026 | 62,98 | 0,073 |
| Полярний момент опору, Wp см3 | 35,23 | 36,457 | 3,3656 |
Помилка в тексті? Виділіть її та натисніть Ctrl + Enter, щоб повідомити нам.
Коментарі