Перевірка точності визначення геометричних характеристик нерівнополочного тонкостінного двотавра.
А.А. Уманский, Справочник проектировщика расчетно-теоретический, 1973, книга 1.
Для поперечного перерізу з формою у вигляді нерівнополочного тонкостінного двотавра перевірити точність обчислення геометричних характеристик.
h = 25 см; а = 16 см; а1 = 10 см; t = 0,8 см; t1 = 1,2 см.
|
Aналітична схема
|
Модель в Конструкторі перерізів
|
Крок тріангуляційної сітки 10 мм.
| A = t1(a+a1)+th | |
|
|
|
|
|
|
|
|
|
| Wy = Iu / d1 | Wz = Iv / 0,5a |
| Ip = Iu + Iv |
|
|
| Параметр | Теорія | LIRA-FEM | Похибка, % |
| Площа, A см2 | 51,2 | 51,2 | 0 |
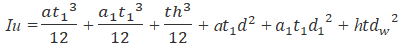
| Момент інерції відносно центральної осі U, Iu см4 | 5616,273 | 5758,464 | 2,4693 |
| Момент інерції відносно центральної осі V, Iv см4 | 510,6 | 509,6 | 0,1958 |
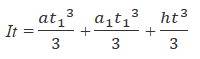
| Крутильний момент інерції, It см4 | 19,243 | 19,243 | 0 |
| Секторіальний момент інерції, Iw см6 | 50235,478 | 50369,958 | 0,267 |
| Радіус інерції відносно головної осі Y1, Ry мм | 104,734 | 106,05 | 1,2409 |
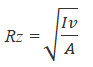
| Радіус інерції відносно головної осі Z1, Rz мм | 31,58 | 31,55 | 0,095 |
| Момент опору відносно головної осі Y1, Wy см3 | 393,903 | 387,571 | 1,6075 |
| Момент опору відносно головної осі Z1, Wz см3 | 63,825 | 63,7 | 0,1958 |
| Полярний момент інерції, Ip см4 | 6126,873 | 6126,873 | 2,2525 |
| Полярний радіус інерції, ip см | 109,392 | 110,64 | 1,128 |
| Полярний момент опору, Wp см3 | 374,755 | 399,837 | 6,2731 |
Помилка в тексті? Виділіть її та натисніть Ctrl + Enter, щоб повідомити нам.
Коментарі