Ціль:

Дослідження розподілу нормальних напружень у двореберній балці від дії рівномірно розподілених навантажень, прикладених у площині ребер.

Література:

А.В. Александров, Б.Я. Лащеников, Н.Н. Шапошников. Строительная механика. Тонкостенные пространственные системы. — Москва: Стройиздат, 1983.

Формулювання задачі:

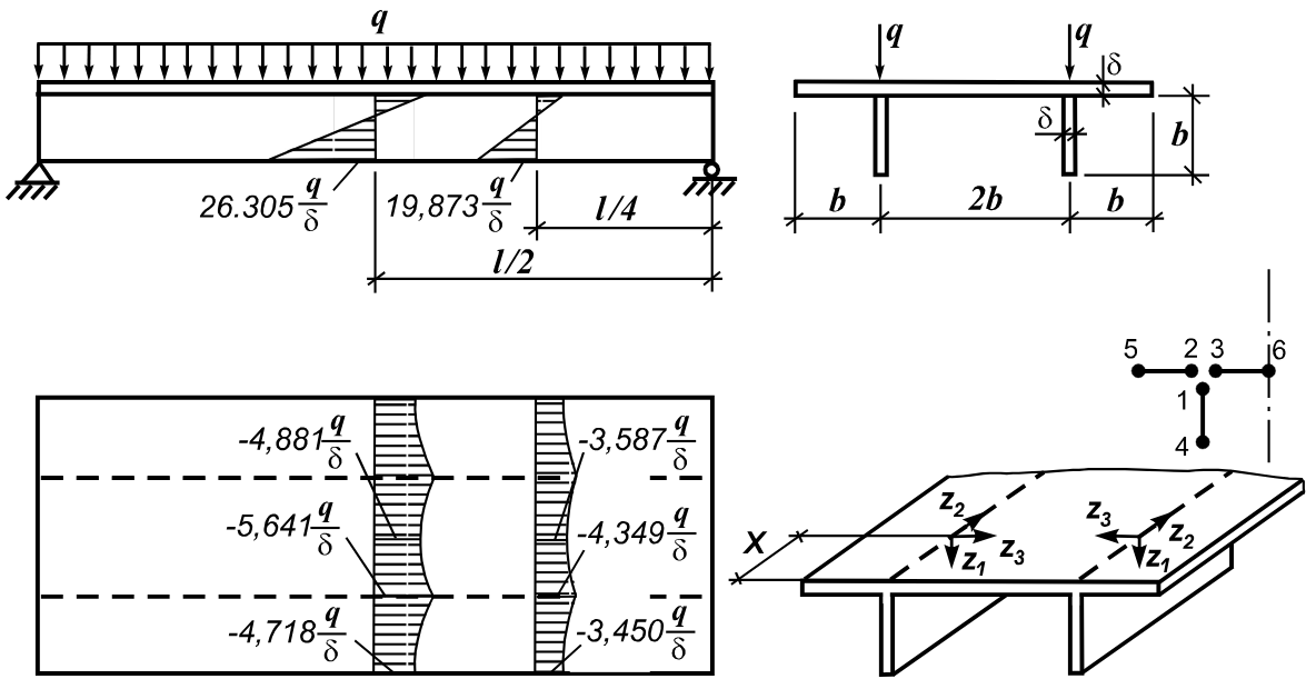
Двохреберна балка вільно оперта через торцеві ідеальні діафрагми абсолютно жорсткі в їхній площині і абсолютно податливі з їхньої площини знаходиться під впливом рівномірно розподілених по лінії вздовж ребер навантажень q, прикладених у їхній площині.

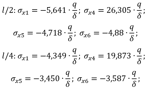
Визначити нормальне напруження σxi, що діє вздовж балки, в елементах її конструкції в точках поперечного перерізу i = 1, 4, 5, 6 для половини (l/2) та чверті (l/4) прольоту балки при врахуванні наступних припущень, прийнятих при виведенні аналітичного рішення:

1.Нехтуються згинальні деформації елементів конструкції балки з їхньої площини; 2.Приймається відсутність переміщень у горизонтальній площині у напрямку поперек балки на стиках ребер та полиці; 3.Не враховується різниця у напруженнях у конструктивних елементах балки на стиках ребер та полиці.

Опис розрахункової схеми:

Розрахункова схема - система загального вигляд. Сітка кінцевих елементів розбита в напрямку поперечної балки з кроком 0,25 м і в напрямку вздовж балки з кроком 0,2453125 м. Напрямок видачі внутрішніх зусиль зорієнтований вздовж осі OX загальної системи координат.

Початкова геометрія

Початкова геометрія

Геометрія:

Товщина ребер та полиці δ = 0,1 м;
Висота ребер b = 1 м;
Відстань між ребрами 2*b = 2 м;
Ширина полиці 4*b = 4 м;
Довжина балки l = 7,85*b = 7,85 м.

Характеристика матеріалу:

Модуль пружності Е = 3*107 кПа;
Коефіцієнт Пуассона ν=0,15.

Граничні умови:

Забезпечення граничних умов досягається за рахунок накладання в'язів за напрямами ступенів свободи Y вздовж ребер; Y, Z по краях, паралельних OY; X, Y, Z на початку координат.

Навантаження:

Рівномірно розподілене по лінії вздовж ребер навантаження q = 10 кН/м.

Результати розрахунку:

Розрахункова схема

Деформована схема

Розрахункова схема
Деформована схема

Деформована схема

Деформована схема

Значення нормальних напружень у полиці балки σxi, кН/м2

Значення нормальних напружень у полиці балки σxi, кН/м2

Значення нормальних напружень у ребрі балки σxi, кН/м2

Значення нормальних напружень у ребрі балки σxi, кН/м2

Аналітичне рішення:

Нормальні напруження σxi (кН/м2), що діють вздовж балки, в елементах її конструкції в точках поперечного перерізу i = 1, 4, 5, 6 для половини (l/2) і чверті (l/4) прольоту балки при врахуванні семи гармонік невідомих узагальнених переміщень можуть бути обчислені за такими формулами:

Порівняння результатів розрахунку:

Без додаткових вузлів на сторонах:

x,м l/2 = 3,925 l/4 = 1,9625
i 1 4 5 6 1 4 5 6
Теорія -564 2631 -472 -488 -435 1987 -345 -359
LIRA-FEM -566 2607 -465 -481 -437,5 1968,5 -339 -353
Похибка, % 0,35 0,91 1,48 1,43 0,57 0,93 1,74 1,67

З використанням додаткових вузлів на сторонах:

x,м l/2 = 3,925 l/4 = 1,9625
i 1 4 5 6 1 4 5 6
Теорія -564 2631 -472 -488 -435 1987 -345 -359
LIRA-FEM -567 2633 -472 -488 -439,5 1991,5 -345 -359
Похибка, % 0,53 0,08 0,00 0,00 1,03 0,23 0,00 0,00

Завантажити приклад

Помилка в тексті? Виділіть її та натисніть Ctrl + Enter, щоб повідомити нам.



Коментарі

Написати