Ціль:

Перевірка точності визначення геометричних характеристик комбінованого тонкостінного перерізу.

Література:

А.А. Уманский, Справочник проектировщика расчетно-теоретический, 1973, книга 1.

Формулювання задачі:

Для тонкостінного комбінованого поперечного перерізу перевірити точність обчислення геометричних характеристик.

Геометрія:

b = 10 см; t = 1 см.

Aналітична схема

Модель в Конструкторі перерізів

Aналітична схема
Модель в Конструкторі перерізів

Аналітичне рішення:

A = 8bt
Wy = Iu / z3 Wz = Iv / 2b
Ip = Iu + Iv

Порівняння результатів розрахунку:

Параметр Теорія LIRA-FEM Похибка, %
Площа, A см2 80 80 0
Момент інерції відносно центральної осі U, Iu см4 1546,6 1541,667 0,319
Момент інерції відносно центральної осі V, Iv см4 8001,6 8000 0,02
Крутильний момент інерції, It см4 2673,3 2693,333 0,7438
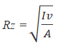
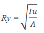
Радіус інерції відносно головної осі Y1, Ry мм 43,969 43,9 0,1569
Радіус інерції відносно головної осі Z1, Rz мм 100,01 100 0,01
Момент опору відносно головної осі Y1, Wy см3 247,456 228,395 7,7028
Момент опору відносно головної осі Z1, Wz см3 400,08 400 0,02
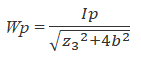
Полярний момент інерції, Ip см4 9548,2 9541,667 0,0684
Полярний радіус інерції, ip см 109,248 109,21 0,0348
Полярний момент опору, Wp см3 455,678 466,663 2,3539

Завантажити приклад


Помилка в тексті? Виділіть її та натисніть Ctrl + Enter, щоб повідомити нам.



Коментарі

Написати