Перевірка точності обчислень геометричних характеристик тонкостінного С-подібного поперечного перерізу.
А.А. Уманский, Справочник проектировщика расчетно-теоретический, 1973, книга 1.
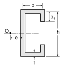
Для тонкостінного С-подібного поперечного перерізу перевірити точність обчислення геометричних характеристик.
b = 100 см; b1 = 30 см; h = 120 см; t = 3 см.
|
Aналітична схема
|
Модель в Конструкторі перерізів
|
Крок тріангуляційної сітки 10 мм.
| A = t(2b+2b1+h) | |
|
|
|
|
|
|
|
|
|
|
|
| Wy = Iu / 0,5h | Wz = Iv / y1 |
| Ip = Iu + Iv |
|
|
| Параметр | Теорія | LIRA-FEM | Похибка, % |
| Площа, A см2 | 1140 | 1140 | 0 |
| Момент інерції відносно центральної осі U, Iu см4 | 2970450 | 2970000 | 0,0151 |
| Момент інерції відносно центральної осі V, Iv см4 | 1779352,369 | 1778947,368 | 0,0228 |
| Крутильний момент інерції, It см4 | 3420 | 3420 | 0 |
| Секторіальний момент інерції, Iw см6 | 8024727272,727 | 8029400695,3 | 0,0582 |
| Радіус інерції відносно головної осі Y1, Ry мм | 510,456 | 510,42 | 0,0071 |
| Радіус інерції відносно головної осі Z1, Rz мм | 395,074 | 395,03 | 0,0111 |
| Момент опору відносно головної осі Y1, Wy см3 | 49507,5 | 48292,683 | 2,4538 |
| Момент опору відносно головної осі Z1, Wz см3 | 30734,128 | 30734,128 | 0 |
| Полярний момент інерції, Ip см4 | 4749802,369 | 4748947,368 | 0,018 |
| Полярний радіус інерції, ip см | 645,484 | 645,43 | 0,0084 |
| Полярний момент опору, Wp см3 | 56967,339 | 56224,974 | 1,3031 |
Помилка в тексті? Виділіть її та натисніть Ctrl + Enter, щоб повідомити нам.
Коментарі