Перевірка точності обчислень геометричних характеристик тонкостінного еліптичного поперечного перерізу.
А.А. Уманский, Справочник проектировщика расчетно-теоретический, 1973, книга 1.
Для тонкостінного еліптичного поперечного перерізу перевірити точність обчислення геометричних характеристик.
a = 100 см; b = 60 см; t = 1 см.
|
Модель в Конструкторі перерізів
|
Крок тріангуляційної сітки 10 мм.
|
|
|
|
|
|
| φ = 0 | |
|
|
|
|
|
|
|
|
|
|
|
|
|
|
|
|
|
|
|
|
|
|
|
|
|
|
|
|
|
|
|
|
|
|
|
| X0 = a/2 | Y0 = b/2 |
| Параметр | Теорія | LIRA-FEM | Похибка, % |
| Площа, A см2 | 255,18 | 255,26 | 0,0313 |
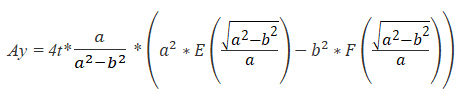
| Зсувна площа відносно головної осі Y1, Ay см2 | 173,738 | 170,2 | 2,0364 |
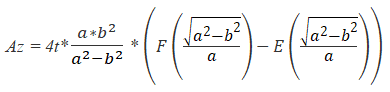
| Зсувна площа відносно головної осі Z1, Az см2 | 81,383 | 78,39 | 3,6777 |
| Поворот головної осі перерізу Y1 відносно осі x поточної системи координат, φ ° | 0,046 | 0 | ≈0 |
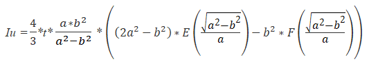
| Момент інерції відносно центральної осі U, Iu см4 | 128657,25 | 128879,752 | 0,1726 |
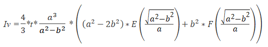
| Момент інерції відносно центральної осі V, Iv см4 | 280418,75 | 280095,577 | 0,1152 |
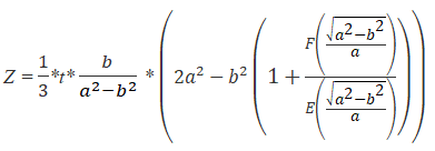
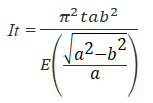
| Крутильний момент інерції, It см4 | 348176,76 | 347993,49 | 0,0526 |
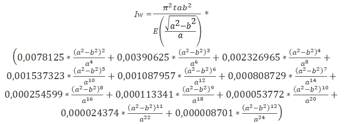
| Секторіальний момент інерції, Iw см6 | 4265014,702 | 4287827,531 | 0,532 |
| Радіус інерції відносно головної осі Y1, Ry мм | 224,57 | 224,7 | 0,0579 |
| Радіус інерції відносно головної осі Z1, Rz мм | 331,54 | 331,25 | 0,0875 |
| Момент опору відносно головної осі Y1, Wy см3 | 4288,575 | 4225,568 | 1,4692 |
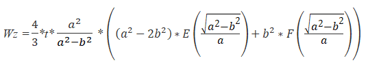
| Момент опору відносно головної осі Z1, Wz см3 | 5608,375 | 5546,459 | 1,104 |
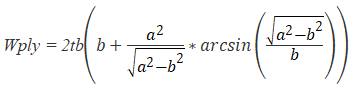
| Пластичний момент опору відносно осі Y1pl, Wply см3 | 5277,357 | 5276,918 | 0,0083 |
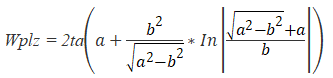
| Пластичний момент опору відносно осі Z1pl, Wplz см3 | 7471,878 | 7471,378 | 0,0067 |
| Ядрова відстань у від'ємному напрямку головної осі Y1, Y- мм | 219,83 | 217,28 | 1,16 |
| Ядрова відстань в додатному напрямку головної осі Y1, Y+ мм | 219,83 | 217,28 | 1,16 |
| Ядрова відстань у від'ємному напрямку головної осі Z1, Z- мм | 168,1 | 165,54 | 1,5229 |
| Ядрова відстань в додатному напрямку головної осі Z1, Z+ мм | 168,1 | 165,54 | 1,5229 |
| Координата x центру тяжіння в поточній системі координат, X0 мм | 500 | 500 | 0 |
| Координата y центру тяжіння в поточній системі координат, Y0 мм | 300 | 300 | 0 |
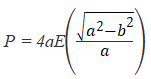
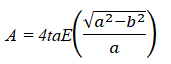
| Периметр, P мм | 5103,6 | 5112,72 | 0,1784 |
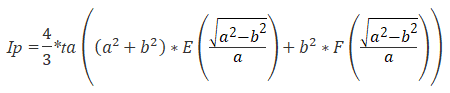
| Полярний момент інерції, Ip см4 | 409076 | 408975,328 | 0,0246 |
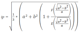
| Полярний радіус інерції, ip см | 40,043 | 40,027 | 0,04 |
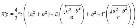
| Полярний момент опору, Wp см3 | 8181,52 | 8098,538 | 1,0143 |
Помилка в тексті? Виділіть її та натисніть Ctrl + Enter, щоб повідомити нам.
Коментарі