Ціль:

Визначення критичного значення стискаючих зусиль, рівномірно розподілених по двох протилежних поперечних торцях прямокутної вільно опертої пластини, підкріпленої поздовжніми ребрами, що відповідає моменту втрати її стійкості.

Література:

С. П. Тимошенко, Устойчивость стержней, пластин и оболочек, Москва, Наука, 1971, стр. 507.
А. С. Вольмир, Устойчивость деформируемых систем, Москва, Наука, 1967, стр. 377.

Формулювання задачі:

Прямокутна вільно оперта пластина, підкріплена поздовжніми ребрами, піддається впливу стискаючих зусиль σ, рівномірно розподілених по двох протилежних поперечних торцях. Визначити критичне значення стискаючих зусиль σкр, що відповідає моменту втрати стійкості прямокутної підкріпленої пластини при врахуванні наступних припущень, прийнятих під час виведення аналітичного рішення:
Ребра стоять симетрично відносно серединної площини пластини, що посилюється;
Не враховується жорсткість ребер на кручення;
Ребра та пластина відчувають рівномірний стиск.

Опис розрахункової схеми:

Розрахункова схема - система загального вигляду. Розглядаються дві розрахункові схеми із співвідношеннями сторін пластини a/b = 1,0; 4,0. Сітка скінченних елементів розбита по сторонах пластини (вздовж осей X та Y загальної системи координат) з кроком 0,075 м. На одному з двох протилежних поперечних торців пластини, схильних до впливу стискаючих зусиль, задаються рівномірно розподілена по лінії навантаження на пластину з початковим значенням p = σ*h = 1000 кН/м і вузлові навантаження на ребра з початковим значенням P = σ*F = 30 кН (вздовж осі X загальної системи координат).

Початкова геометрія

Початкова геометрія

Геометрія:

Розмір сторони прямокутної пластини, вільної від навантажень (вздовж осі X загальної системи координат) a = 0,6; 2,4 м;
Розмір сторони прямокутної пластини, схильної до впливу стискаючих зусиль (вздовж осі Y загальної системи координат) b = 0,6 м;
Товщина прямокутної пластини h = 0,01 м;
Площа поперечного перерізу ребер F = 3*10-4 м2;
Кількість ребер s = 3.

Характеристика матеріалу:

Модуль пружності матеріалу пластини та ребер E = 2*108 кН/м2;
Коефіцієнт Пуассона v = 0,3.

Граничні умови:

Забезпечення граничних умов досягається за рахунок накладання в'язів на вузли опорного контуру пластини за ступенем вільності Z.
Також на вузли одного з двох протилежних поздовжніх торців пластини, вільних від навантажень, накладаються в'язі по нормальному до нього напрямку (вздовж осі Y загальної системи координат). У цих цілях на вузол одного з кутів пластини накладається в'язь у напрямку UZ загальної системи координат.

Навантаження:

Початкове значення стискаючих зусиль σ = 1*105 кН/м2.


Результати розрахунку:

Розрахункова схема 1 із співвідношеннями сторін a/b = 1,0

Розрахункова схема 1 із співвідношеннями сторін a/b = 1,0

1-ша форма втрати стійкості для схеми 1

2-га форма втрати стійкості для схеми 1

3-тя форма втрати стійкості для схеми 1

1-ша форма втрати стійкості для схеми 1
2-га форма втрати стійкості для схеми 1
3-тя форма втрати стійкості для схеми 1

Розрахункова схема 2 із співвідношеннями сторін a/b = 4,0

Розрахункова схема 2 із співвідношеннями сторін a/b = 4,0

1-ша форма втрати стійкості для схеми 2

2-га форма втрати стійкості для схеми 2

3-тя форма втрати стійкості для схеми 2

1-ша форма втрати стійкості для схеми 2
2-га форма втрати стійкості для схеми 2
3-тя форма втрати стійкості для схеми 2

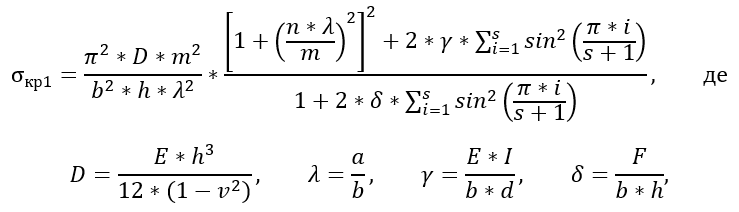
Аналітичне рішення:

При аналітичному рішенні критичне значення стискаючих зусиль σкр1 у першому наближенні, що відповідає моменту втрати стійкості прямокутної підкріпленої пластини, визначається за такою формулою:

n, m = 1, 2, 3 … – число напівхвиль форми втрати стійкості у напрямках поперечному та поздовжньому відносно стиснення пластини.

Порівняння результатів розрахунку:

Критичне значення стискаючих зусиль σкр, кН/м2

Без додаткових вузлів на сторонах:

Розрахункова схема Форма втрати стійкості Кількість напівхвиль у поперечному n та поздовжньому m напрямках Теорія LIRA-FEM Похибка, %
a/b=1,0 1 1; 1 235900 2,33201*105=233201 1,14
2 1; 2 535675 5,27733*105=527733 1,48
3 2; 2 943645 9,03641*105=903641 2,71
a/b=4,0 1 1; 3 220164 2,18038*105=218038 0,97
2 1; 4 235911 2,33211*105=233211 1,14
3 1; 2 278654 2,76935*105=276935 0,61

З використанням додаткових вузлів на сторонах:

Розрахункова схема Форма втрати стійкості Кількість напівхвиль у поперечному n та поздовжньому m напрямках Теорія LIRA-FEM Похибка, %
a/b=1,0 1 1; 1 235900 2,35926*105=235926 0,01
2 1; 2 535675 5,34331*105=534331 0,25
3 2; 2 943645 9,44189*105=944189 0,06
a/b=4,0 1 1; 3 220164 2,20184*105=220184 0,01
2 1; 4 235911 2,35942*105=235942 0,01
3 1; 2 278654 2,78658*105=278658 0,001

Завантажити приклад


Помилка в тексті? Виділіть її та натисніть Ctrl + Enter, щоб повідомити нам.



Коментарі

Написати