Ціль:

Визначення критичного значення стискаючих зусиль, рівномірно розподілених по двох протилежних поперечних торцях прямокутної ортотропної вільно опертої пластини, що відповідає моменту втрати її стійкості.

Література:

А. С. Вольмир, Устойчивость деформируемых систем, Москва, Наука, 1967, стр. 374.

Формулювання задачі:

Прямокутна ортотропна вільно оперта пластина піддається впливу стискаючих зусиль σ, рівномірно розподілених по двох протилежних поперечних торцях. Визначити критичне значення стискаючих зусиль σcrort, що відповідає моменту втрати стійкості прямокутної ортотропної пластини.

Опис розрахункової схеми:

Розрахункова схема - система загального вигляду. Розглядаються дві розрахункові схеми із співвідношеннями сторін пластини a/b = 1,0; 4,0. Сітка скінченних елементів розбита (вздовж осей X та Y загальної системи координат) з кроком 0,075 м. На одному з двох протилежних поперечних торців пластини, схильних до впливу стискаючих зусиль, задається рівномірно розподілене по лінії навантаження з початковим значенням p = σ*h = 1000 кН/м.

Початкова геометрія

Початкова геометрія

Геометрія:

Розмір сторони прямокутної пластини, вільної від навантаження (вздовж осі X загальної системи координат) a = 0,6; 2,4 м;
Розмір сторони прямокутної пластини, схильної до впливу стискаючих зусиль (вздовж осі Y загальної системи координат) b = 0,6 м;
Товщина прямокутної пластини h = 0,01 м.

Характеристика матеріалу:

Модуль пружності матеріалу пластини, що відповідає поздовжнім деформаціям осі X загальної системи координат E1 = 5,6*108 кН/м2;
Коефіцієнт Пуассона, що відповідає поперечним деформаціям по осі Y загальної системи координат v21 = 0,3;
Модуль пружності матеріалу пластини, що відповідає поздовжнім деформаціям осі Y загальної системи координат E2 = 2,123*108 кН/м2;
Коефіцієнт Пуассона, що відповідає поперечним деформаціям по осі X загальної системи координат v12 = 0,114;
Модуль зсуву матеріалу пластини G12 = 0,769*108 кН/м2.

Граничні умови:

Забезпечення граничних умов досягається за рахунок накладання в'язів на вузли опорного контуру пластини у напрямку ступеня вільності Z. На вузли протилежного торця, де задається навантаження, накладаються в'язі за відповідним напрямком (вздовж осі X загальної системи координат). З метою забезпечення геометричної незмінності розрахункової схеми на вузли одного з двох протилежних поздовжніх торців пластини, вільних від навантаження, накладаються в'язі по нормальному до нього напрямку (вздовж осі Y загальної системи координат). У цих же цілях на вузол одного з кутів пластини накладається в'язь у напрямку UZ загальної системи координат.

Навантаження:

Початкове значення стискаючих зусиль σ = 1*105 кН/м2.


Результати розрахунку:

Розрахункова схема 1 із співвідношеннями сторін a/b = 1,0

Розрахункова схема 1 із співвідношеннями сторін a/b = 1,0

1-ша форма втрати стійкості для схеми 1

2-га форма втрати стійкості для схеми 1

3-тя форма втрати стійкості для схеми 1

1-ша форма втрати стійкості для схеми 1
2-га форма втрати стійкості для схеми 1
3-тя форма втрати стійкості для схеми 1

Розрахункова схема 2 із співвідношеннями сторін a/b = 4,0

Розрахункова схема 2 із співвідношеннями сторін a/b = 4,0

1-ша форма втрати стійкості для схеми 2

2-га форма втрати стійкості для схеми 2

3-тя форма втрати стійкості для схеми 2

1-ша форма втрати стійкості для схеми 2
2-га форма втрати стійкості для схеми 2
3-тя форма втрати стійкості для схеми 2

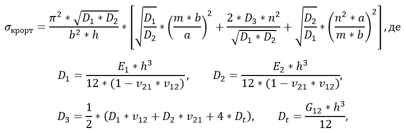
Аналітичне рішення:

При аналітичному рішенні критичне значення стискаючих зусиль σкрорт, що відповідає моменту втрати стійкості прямокутної ортотропної пластини, визначається за такою формулою:

n, m = 1, 2, 3 … – число напівхвиль форми втрати стійкості у напрямках поперечному та поздовжньому відносно стиснення пластини.
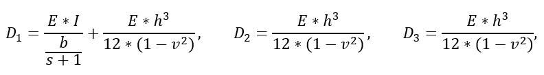
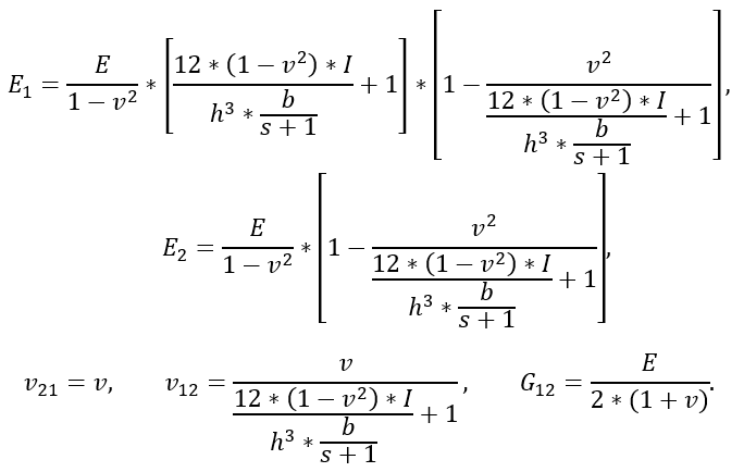
Жорсткісні характеристики ортотропної пластини приймаються з умов еквівалентності жорстким характеристикам підкріпленої пластини:

і визначаються за такими формулами:

Критичні значення стискаючих зусиль σкр для підкріпленої пластини повинні бути зменшені з коефіцієнтом k відносно критичних значень стискаючих зусиль σкр для ортотропної пластини, оскільки при визначенні останніх не враховується складова, що діє на ребра першої:

де F – площа ребра жорсткості, s – число ребер.

Порівняння результатів розрахунку:

Без додаткових вузлів на сторонах:

Критичне значення стискаючих зусиль σкрорт, кН/м2
Розрахункова схема Форма втрати стійкості Кількість напівхвиль у поперечному n та поздовжньому m напрямках Теорія LIRA-FEM Похибка, %
a/b=1,0 1 1; 1 283093 2,77828*105=277828 1,86
2 1; 2 642810 6,27352*105=627352 2,40
3 2; 2 1132373 10,54700*105=1054700 6,86
a/b=4,0 1 1; 3 264196 2,60524*105=260524 1,39
2 1; 4 283093 2,77841*105=277841 1,86
3 1; 2 334385 3,31868*105=331868 0,75
Критичне значення стискаючих зусиль σкр, кН/м2
Розрахункова схема Форма втрати стійкості Кількість напівхвиль у поперечному n та поздовжньому m напрямках Теорія LIRA-FEM Похибка, %
a/b=1,0 1 1; 1 235900 277828*0,869565=241590 2,41
2 1; 2 533934 627352*0,869565=545523 2,17
3 2; 2 942681 1054700*0,869565=917130 2,71
a/b=4,0 1 1; 3 220165 260524*0,869565=226543 2,89
2 1; 4 235900 277841*0,869565=241601 2,42
3 1; 2 278652 331868*0,869565=288581 3,56

З використанням додаткових вузлів на сторонах:

Критичне значення стискаючих зусиль σкрорт, кН/м2
Розрахункова схема Форма втрати стійкості Кількість напівхвиль у поперечному n та поздовжньому m напрямках Теорія LIRA-FEM Похибка, %
a/b=1,0 1 1; 1 283093 2,83157*105=283157 0,02
2 1; 2 642810 6,42733*105=642733 0,01
3 2; 2 1132373 11,34010*105=1134010 0,15
a/b=4,0 1 1; 3 264196 2,64266*105=264266 0,03
2 1; 4 283093 2,83181*105=283181 0,03
3 1; 2 334385 3,34456*105=334456 0,02
Критичне значення стискаючих зусиль σкр, кН/м2
Розрахункова схема Форма втрати стійкості Кількість напівхвиль у поперечному n та поздовжньому m напрямках Теорія LIRA-FEM Похибка, %
a/b=1,0 1 1; 1 235900 283157*0,869565=246223 4,38
2 1; 2 533934 642733*0,869565=558898 4,68
3 2; 2 942681 1134010*0,869565=986095 4,60
a/b=4,0 1 1; 3 220165 264266*0,869565=229796 4,38
2 1; 4 235900 283181*0,869565=246244 4,39
3 1; 2 278652 334456*0,869565=290831 4,37

Завантажити приклад


Помилка в тексті? Виділіть її та натисніть Ctrl + Enter, щоб повідомити нам.



Коментарі

Написати