Ціль:

Визначення критичного значення зближення двох протилежних сторін квадратної шарнірно опертої пластини, що відповідає моменту втрати її стійкості.

Література:

J.H. Argyris, P.C. Dunne, G.A. Malejannakis, E. Schelkle, A simple triangular facet shell element with applications to linear and non-linear equilibrium and elastic stability problems, Computer methods in applied mechanics and engineering, 11 (1977), p. 97-131. S.P. Timoshenko, J.M. Gere, Theory of elastic stability, McGraw-Hill, New York, 1963, p. 356.

Формулювання задачі:

Квадратна пластина піддається впливу зближення Δ двох протилежних сторін, що мають шарнірно рухому (вільну) опору. Дві інші протилежні сторони пластини, вільні від дії, мають шарнірно нерухому опору. Визначити критичне значення зближення Δкр, що відповідає моменту втрати стійкості квадратної пластини.

Опис розрахункової схеми:

Розрахункова схема - система загального вигляду. Сітка скінченних елементів розбита по сторонах пластини (вздовж осей X та Y загальної системи координат) з кроком 1,0 м.

Початкова геометрія

Початкова геометрія

Геометрія:

Розмір сторони квадратної пластини a = 8,0 м;
Товщина квадратної пластини h = 0,08 м.

Характеристика матеріалу:

Модуль пружності матеріалу квадратної пластини E = 1,0*107 кН/м2;
Коефіцієнт Пуассона v = 1/3.

Граничні умови:

Забезпечення граничних умов досягається за рахунок накладання в'язів на вузли опорного контуру пластини у напрямку ступеня вільності Z, а також за рахунок накладання в'язів на вузли двох протилежних сторін пластини, вільних від впливів за нормальним напрямком до них уздовж осі Y загальної системи координат.
На вузли двох протилежних сторін пластини, схильних до кінематичного впливу, накладаються в'язі по відповідному напрямку (вздовж осі X загальної системи координат). Вплив задається усуненням в'язів однієї з цих сторін з початковим значенням Δ = 1,0*10-3 м.
З метою забезпечення геометричної незмінності розрахункової схеми на один вузол контуру пластини накладається в'язь у напрямку UZ загальної системи координат.

Навантаження:

Початкове значення зближення Δ = 1,0*10-3 м.


Результати розрахунку:

Розрахункова схема

Розрахункова схема

Форма втрати стійкості без використання додаткових вузлів

Форма втрати стійкості з використанням додаткових вузлів

Форма втрати стійкості без використання додаткових вузлів
Форма втрати стійкості з використанням додаткових вузлів

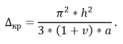
Аналітичне рішення:

При аналітичному рішенні критичне значення зближення Δкр двох протилежних сторін квадратної шарнірно опертої пластини, що відповідає моменту втрати стійкості квадратної пластини визначається за такою формулою:

Порівняння результатів розрахунку:

Розрахункова схема Теорія LIRA-FEM Похибка, %
Без використання додаткових вузлів на сторонах 1,974*10-3 1,941*10-3 1,67
З використанням додаткових вузлів на сторонах 1,975*10-3 0,05

Завантажити приклад


Помилка в тексті? Виділіть її та натисніть Ctrl + Enter, щоб повідомити нам.



Коментарі

Написати