Ціль:

Визначення критичного значення стискаючих зусиль, рівномірно розподілених по двох протилежних сторонах прямокутної вільно опертої пластинки, що відповідає моменту втрати її стійкості.

Література:

С.П. Тимошенко. Устойчивость стержней, пластин и оболочек. — Москва. Наука. — 1971. — стр. 621.
А.С. Вольмир. Устойчивость деформируемых систем. — Москва. — Наука. — 1967. — стр. 328.

Формулювання задачі:

Прямокутна вільно оперта пластина піддається впливу стискаючих зусиль σ рівномірно розподілених по двох протилежних сторонах. Визначити критичне значення стискаючих зусиль σкр, що відповідає моменту втрати стійкості прямокутної пластини.

Опис розрахункової схеми:

Розрахункова схема - система загального вигляду. Для трьох розрахункових схем із співвідношеннями сторін пластини a/b = 0,5; 1,0; 1,5 сітка скінченних елементів розбита по сторонах пластини (вздовж осей X та Y загальної системи координат) з кроком 1,0 м. На одній з двох протилежних сторін пластини, схильних до впливу стискаючих зусиль, задається рівномірно розподілене по лінії навантаження з початковим значенням p = σ*h = 100 кН/м.

Початкова геометрія

Початкова геометрія

Геометрія:

Розмір сторони прямокутної пластини, вільної від зусиль (вздовж осі X загальної системи координат) a = 4,0; 8,0; 12,0 м;
Розмір сторони прямокутної пластини, схильної до впливу стискаючих зусиль (вздовж осі Y загальної системи координат) b = 8,0 м;
Товщина прямокутної пластини h = 0,08 м.

Характеристика матеріалу:

Модуль пружності E = 1,0*107 кН/м2;
Коефіцієнт Пуассона v = 1/3.

Граничні умови:

Забезпечення граничних умов досягається за рахунок накладання в'язів на вузли опорного контуру пластини за напрямами ступеня вільності Z.
На вузли сторони протилежної тій, де задається рівномірно розподілене по лінії навантаження, накладаються в’язі за відповідним напрямом (вздовж осі X загальної системи координат).
З метою забезпечення геометричної незмінності розрахункової схеми на вузли однієї з двох протилежних сторін пластини, вільних від зусиль, накладаються в'язі за нормальним до неї напрямком (вздовж осі Y загальної системи координат). Також на вузол одного з кутів пластини накладаються в'язі за напрямом UZ загальної системи координат.

Навантаження:

Початкове значення стискаючих зусиль σ = 1,25*103 кН/м2.


Результати розрахунку:

Розрахункова схема із співвідношенням a/b = 0,5

Форма втрати стійкості для схеми a/b = 0,5

Розрахункова схема із співвідношенням a/b = 0,5
Форма втрати стійкості для схеми a/b = 0,5

Розрахункова схема із співвідношенням a/b = 1,0

Форма втрати стійкості для схеми a/b = 1,0

Розрахункова схема із співвідношенням a/b = 1,0
Форма втрати стійкості для схеми a/b = 1,0

Розрахункова схема із співвідношенням a/b = 1,5

Форма втрати стійкості для схеми a/b = 1,5

Розрахункова схема із співвідношенням a/b = 1,5
Форма втрати стійкості для схеми a/b = 1,5

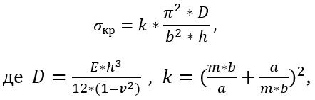
Аналітичне рішення:

При аналітичному рішенні критичне значення стискаючих зусиль σкр, що відповідає моменту втрати стійкості прямокутної пластини визначається за такою формулою:

m = 1, 2, 3 ... - число напівхвиль форми втрати стійкості в напрямку стиснення пластини, мінімальне значення якого визначається з виразу:

Порівняння результатів розрахунку:

Без додаткових вузлів на сторонах:

Розрахункова схема Теорія LIRA-FEM Похибка, %
a/b=0,5 5783 4,50946*100/0,08=5636,825 2,528
a/b=1,0 3701 2,91179*100/0,08=3639,738 1,655
a/b=1,5 4016 3,14553*100/0,08=3931,913 2,094

З використанням додаткових вузлів на сторонах:

Розрахункова схема Теорія LIRA-FEM Похибка, %
a/b=0,5 5783 4,62818*100/0,08=5785,225 0,038
a/b=1,0 3701 2,96117*100/0,08=3701,463 0,012
a/b=1,5 4016 3,21361*100/0,08=4017,013 0,025

Завантажити приклад


Помилка в тексті? Виділіть її та натисніть Ctrl + Enter, щоб повідомити нам.



Коментарі

Написати