Визначення напружено-деформованого стану тора під внутрішнім тиском.
R.J. Roark et W.C. Young, Formulas for stress and strain, 5e edition, New York, McGraw-Hill, 1975.
Визначити радіальні переміщення ΔR на внутрішніх і зовнішніх напрямних тора, а також напруження σ11 і σ22 у його стінках.
Тор вільний від закріплень під впливом внутрішнього рівномірного тиску q.
|
а |
б |
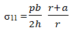
Радіус твірної b = 1 м;
Відстань від центра обертання до центра твірної a = 2 м;
Товщина стінки h = 0,02 м.
Модуль пружності Е = 2,1 * 1011 Па;
Коефіцієнт Пуассона ν = 0,3.
В’язі симетрії.
Рівномірно розподілене по площі P = 10000 Па.
Задача розв’язується у просторовій постановці (ознака схеми 5).
Для побудови схеми використані СЕ 44 – універсальний чотирикутний СЕ оболонки.
У розрахунковій схемі розглянуто фрагмент тора (180°). Для врахування відсіченої частини прикладені в'язі симетрії.
Сітка скінченних елементів має 80 елементів вздовж окружності кола перерізу і 90 елементів вздовж окружності стінки.
Кількість вузлів: 7280. Кількість елементів: 7200.
|
а |
б |



Без додаткових вузлів на сторонах:
| Точка | Шукана величина | Аналітичне рішення | LIRA-FEM | Похибка, % |
| ∀r | σ22, Па | 2,5 * 105 | 2,4915 * 105 | 0,34 |
| r = a - b | σ11, Па | 7,5 * 105 | 7,4917 * 105 | 0,1107 |
| ΔR, м | 1,19 * 10-7 | 1,1634 * 10-7 | 2,2353 | |
| r = a + b | σ11, Па | 4,17 * 105 | 4,1663 * 105 | 0,0887 |
| ΔR, м | 1,79 * 10-6 | 1,7744 * 10-6 | 0,8715 |
З використанням додаткових вузлів на сторонах:
| Точка | Шукана величина | Аналітичне рішення | LIRA-FEM | Похибка, % |
| ∀r | σ22, Па | 2,5 * 105 | 2,4941 * 105 | 0,236 |
| r = a - b | σ11, Па | 7,5 * 105 | 7,4739 * 105 | 0,348 |
| ΔR, м | 1,19 * 10-7 | 1,2349 * 10-7 | 3,6359 | |
| r = a + b | σ11, Па | 4,17 * 105 | 4,1668 * 105 | 0,0676 |
| ΔR, м | 1,79 * 10-6 | 1,7732 * 10-6 | 0,9385 |
Помилка в тексті? Виділіть її та натисніть Ctrl + Enter, щоб повідомити нам.
Коментарі