Визначення напруженого стану греблі трикутної форми одиничної товщини в декартових координатах від впливу власної ваги та гідростатичного тиску.
В.І. Самуль, Основи теорії пружності та пластичності. - Москва: Вища школа, 1982.
Визначити компоненти тензора напруги в декартових координатах σx, σy, τxy в горизонтальному перерізі греблі, розташованому на глибині y0 = 5,0 м від вершини греблі.
До поверхні вертикальної грані греблі трикутної форми, товщина якої дорівнює одиниці, прикладено горизонтальне навантаження, розподілене за лінійним законом з вагою одиниці об'єму γ, що діє в площині греблі.
Гребля також знаходиться під дією власної ваги.
Товщина греблі: h = 1,0 м;
Кут при вершині греблі: β = 30º;
Висота греблі: H = 15,0 м
Модуль пружності Е = 3,0 * 107 Па;
Коефіцієнт Пуассона матеріалу греблі μ = 0,2;
Питома вага рідини γ = 10,0 кН/м3;
Питома вага матеріалу греблі γ1 = 20,0 кН/м3
Розрахункова схема – типу плоска рама, елементи пластини – 452 восьмивузлові елементи типу 30 і 23 шестивузлові елементи типу 25.
Сітка кінцевих елементів розбита з кроком 0,25 м у горизонтальному OX та вертикальному OY напрямках.
Напрямок видачі внутрішніх зусиль – вздовж осей OX та OY глобальної системи координат. Так як на закріпленому кінці гребля не зазнає зусиль, розподілених за законом аналітичного рішення, для отримання точного рішення на глибині y0 = 5,0 м від вершини греблі при впливі власної ваги та гідростатичного тиску висота греблі до закріпленого кінця прийнята рівною H = 15,0 м.
Кількість вузлів у розрахунковій схемі - 1506.
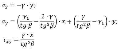
При аналітичному розрахунку напружень σx, σy, τxy в тілі греблі від впливу власної ваги та гідростатичного тиску визначаються за такими формулами (В.І. Самуль, Основи теорії пружності та пластичності: Вища школа, 1982, стор 77):
| Параметри | На похилій грані греблі (x = y0 · tgβ = 2,8868 м) | На вертикальній грані греблі (x = 0,00 м) | ||||
|---|---|---|---|---|---|---|
| Аналітичне рішення | LIRA-FEM | Похибка, % | Аналітичне рішення | LIRA-FEM | Похибка, % | |
| σx(кН/м2) | -50,00 | -49,2 | 1,6 | -50,00 | -47,5 | 5 |
| σy(кН/м2) | -150,00 | -148,00 | 1,33 | 50,00 | 46,6 | 6,8 |
| τxy(кН/м2) | -86,6 | -85,1 | 1,73 | 0,00 | 0,0323 | - |
Помилка в тексті? Виділіть її та натисніть Ctrl + Enter, щоб повідомити нам.
Коментарі