Ціль:

Визначення напружено-деформованого стану кільцевої шарнірно опертої пластини постійної товщини, навантаженої поперечним рівномірно розподіленим навантаженням.

Література:

С.П. Тимошенко, Пластини та оболонки. - Москва: ОГІЗ, Гостехіздат, 1948.

Формулювання задачі:

Визначити прогин w, радіальний Mr і тангенціальний Mθ згинальні моменти по внутрішньому і зовнішньому контуру пластини.

Опис розрахункової схеми:

Кільцева шарнірно оперта пластина постійної товщини навантажується поперечним рівномірно розподіленим навантаженням.

Початкова геометрія аналітичної схеми

Початкова геометрія СЕ моделі

Початкова геометрія аналітичної схеми
Розрахункова схема

Геометрія:

Зовнішній радіус пластини: R = 1,2 м;
Внутрішній радіус пластини: r = 0,6 м;
Товщина пластини: h = 2,0 · 10-2 м

Характеристика матеріалу:

Модуль пружності: Е = 2,0 * 108 кПа;
Коефіцієнт Пуассона μ = 0,3

Навантаження:

Поперечне рівномірно розподілене навантаження: p = 10 кПа


Результати розрахунку:

Значення прогинів w (мм)

Значення радіальних згинальних моментів M<sub>r</sub>(кН*м/м)

Значення тангенціальних згинальних моментів M<sub>θ</sub>(кН*м/м)

Значення прогинів w (мм)
Значення радіальних згинальних моментів Mr(кН*м/м)
Значення тангенціальних згинальних моментів Mθ(кН*м/м)

Аналітичне рішення:

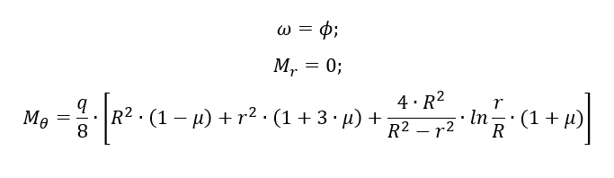
При аналітичному рішенні прогин w, радіальний Mr і тангенціальний Mθ згинальні моменти по внутрішньому контуру пластини можуть бути обчислені за такими формулами:

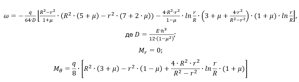
При аналітичному рішенні прогин w, радіальний Mr і тангенціальний Mθ згинальні моменти по зовнішньому контуру пластини можуть бути обчислені за такими формулами:

Порівняння результатів розрахунку:

Параметри По внутрішньому контуру пластини По зовнішньому контуру пластини
Аналітичне рішення LIRA-FEM Похибка, % Аналітичне рішення LIRA-FEM Похибка, %
w, мм -8,93 -8,81 1,34 0,00 0,00 -
Mr, кН*м/м 0,00 0,13 - 0,00 0,249 -
Mθ, кН*м/м 3,46 3,41 1,45 1,57 1,65 5,10

Завантажити приклад


Помилка в тексті? Виділіть її та натисніть Ctrl + Enter, щоб повідомити нам.



Коментарі

Написати