Ціль:

Визначення напружено-деформованого стану защемленої кругової пластини постійної товщини, навантаженої поперечним рівномірно розподіленим навантаженням.

Література:

С.П. Тимошенко, Пластинки и оболочки. — Москва: ОГИЗ, Гостехиздат, 1948.

Формулювання задачі:

Кругова жорстко защемлена пластина постійної товщини навантажується поперечним рівномірно розподіленим навантаженням. Визначити прогин Y(G), переміщення uX(G), радіальний Mx і тангенціальний My згинальні моменти по осі та зовнішньому контуру пластини.

Опис розрахункової схеми::

Розрахункова схема – система загального вигляду. Напрямок видачі внутрішніх зусиль – радіально-тангенційний. Сітка скінченних елементів розбита в радіальному напрямку від r = 0,00 м до r = 1,2 м з кроком 0,10 м та в тангенціальному напрямку з кроком 7,5º.

Початкова геометрія

Початкова геометрія

Геометрія:

Зовнішній радіус пластини R = 1,2 м;
Товщина пластини h = 2*10-2.

Характеристика матеріалу:

Модуль пружності Е = 2*108 Па;
Коефіцієнт Пуассона ν=0,3.

Граничні умови:

Забезпечення граничних умов досягається за рахунок накладання в'язів за напрямками ступенів вільності Z, uX, uY у вузлах зовнішнього контуру пластини.

Навантаження:

Поперечне рівномірно розподілене навантаження q = 10 кПа.


Результати розрахунку:

Розрахункова схема

Розрахункова схема

Мозаїка переміщень по Y(G), мм

Мозаїка переміщень по Y(G), мм

Мозаїка переміщень по uX(G), рад*1000

Мозаїка переміщень по uX(G), рад*1000

Мозаїка напружень по Mx, кН*м/м

Мозаїка напружень по Mx, кН*м/м

Мозаїка напружень по My;, кН*м/м

Мозаїка напружень по My, кН*м/м

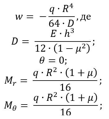
Аналітичне рішення:

Прогин Y(G), переміщення uX(G), радіальний Mx і тангенціальний My згинальні моменти по осі пластини можуть бути обчислені за такими формулами:

Прогин Y(G), переміщення uX(G), радіальний Mx і тангенціальний My згинальні моменти по зовнішньому контуру пластини можуть бути обчислені за такими формулами:

Порівняння результатів розрахунку:

Без додаткових вузлів на сторонах:

Параметр По осі пластини
Теорія LIRA-FEM Похибка, %
Y(G), мм -2,211 -2,352 6,38
uX(G), рад*1000 0,000 0,000 -
Mx, кН*м/м 1,170 1,257 7,44
My, кН*м/м 1,170 1,195 2,14
Параметр По зовнішньому контуру пластини
Теорія LIRA-FEM Похибка, %
Y(G), мм 0,000 0,000 -
uX(G), рад*1000 0,000 0,239 -
Mx, кН*м/м -1,800 -1,628 9,56
My, кН*м/м -0,540 -0,421 22,04

З використанням додаткових вузлів на сторонах:

Параметр По осі пластини
Теорія LIRA-FEM Похибка, %
Y(G), мм -2,211 -2,416 9,27
uX(G), рад*1000 0,000 0,000 -
Mx, кН*м/м 1,170 1,268 8,38
My, кН*м/м 1,170 1,178 0,68
Параметр По зовнішньому контуру пластини
Теорія LIRA-FEM Похибка, %
Y(G), мм 0,000 0,000 -
uX(G), рад*1000 0,000 0,203 -
Mx, кН*м/м -1,800 -1,637 9,06
My, кН*м/м -0,540 -0,426 21,11

Завантажити приклад


Помилка в тексті? Виділіть її та натисніть Ctrl + Enter, щоб повідомити нам.



Коментарі

Написати