Ціль:

Визначення деформованого стану прямокутної балки-стінки, жорстко підвішеної з боків, від впливу рівномірно розподіленого навантаження, розташованого на верхній стороні.

Література:

А.С. Калманок, Расчет балок-стенок, москва, Госстройиздат, 1956.

Формулювання задачі:

До верхньої сторони прямокутної балки-стінки, жорстко підвішеної з боків, прикладено рівномірно розподілене навантаження P, що діє в площині балки-стінки по осі Z.

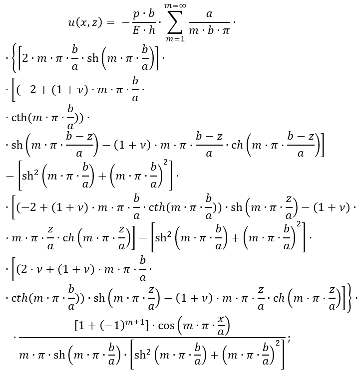
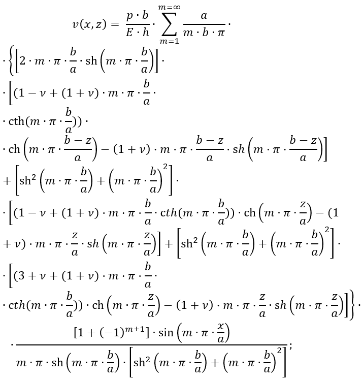
Визначити компоненти тензора переміщення у декартових координатах u(x,z) та v(x,z) для серединної поверхні балки-стінки в її площині.

Опис розрахункової схеми:

Розрахункова схема - плоска пластинна система, задана генерацією балки-стінки. Сітка сінченних елементів розбита з кроком 0,08 м у напрямках осей X та Z загальної системи координат.

Початкова геометрія

Початкова геометрія

Кількість вузлів

Кількість елементів

Кількість вузлів
Кількість елементів


Геометрія:

Товщина балки-стінки h = 0,1 м;
Довжина прольоту балки-стінки a = 0,8 м;
Висота балки-стінки b = 1,6 м.

Характеристика матеріалу:

Модуль пружності Е = 2,65 * 106 Па;
Коефіцієнт Пуассона ν=0,15.

Граничні умови:

Забезпечення граничних умов досягається за рахунок накладення в'язей у напрямку ступеня вільності Z для бокової сторони та у напрямку ступеня вільності X на осі симетрії.

Навантаження:

Рівномірно розподілене навантаження P = 500 Н/м, прикладене до верхньої сторони прямокутної балки-стінки.

Результати розрахунку:

Розрахункова і деформована схеми

Розрахункова і деформована схеми

Значення переміщень вздовж прольоту балки-стінки u (м).

Значення переміщень висотою балки-стінки v (м).

Значення переміщень вздовж прольоту балки-стінки u (м)
Значення переміщень висотою балки-стінки v (м)

Аналітичне рішення:

Компоненти тензора переміщення у декартових координатах u(x,z) та v(x,z) для серединної поверхні балки-стінки в її площині можуть бути обчислені за такими формулами:

Порівняння результатів розрахунку:

Координати Переміщення u, м Переміщення v, м
X Z Теорія LIRA-FEM Відхилення, % Теорія LIRA-FEM Відхилення, %
0 0 -0,000719 -0,000713 0,83 0 0 -
0 0,8 -0,000220 -0,000220 - 0 0 -
0 1,6 0,001468 0,001401 4,56 0 0 -
0,4 0 -0,000508 -0,000504 0,79 -0,000672 -0,000667 0,74
0,4 0,8 -0,000148 -0,000148 0 -0,000950 -0,000945 0,53
0,4 1,6 0,000780 0,000778 0,26 -0,002032 -0,002027 0,25
0,8 0 0 0 - -0,000950 -0,000943 0,74
0,8 0,8 0 0 - -0,001326 -0,001320 0,45
0,8 1,6 0 0 - -0,002510 -0,002504 0,24

Завантажити приклад


Помилка в тексті? Виділіть її та натисніть Ctrl + Enter, щоб повідомити нам.



Коментарі

Написати