Перевірка точності обчислень геометричних характеристик суцільного поперечного перерізу з формою півкола.
А.А. Уманский, Справочник проектировщика расчетно-теоретический, 1973, книга 1.
Для суцільного поперечного перерізу з формою півкола перевірити точність обчислення геометричних характеристик.
d = 100 см.
|
Aналітична схема
|
Модель в Конструкторі перерізів
|
Крок тріангуляційної сітки 10 мм.
|
|
|
|
|
|
|
|
|
| Iu = 0,00686*d4 |
|
|
|
|
|
|
zb = 0 |
| Параметр | Теорія | LIRA-FEM | Похибка, % |
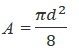
| Площа, A см2 | 3926,99 | 3926,73 | 0,0066 |
| Зсувна площа відносно головної осі Y1, Ay см2 | 3555,26 | 3364,73 | 5,3591 |
| Зсувна площа відносно головної осі Z1, Az см2 | 2991,99 | 2940,13 | 1,7333 |
| Момент інерції відносно центральної осі U, Iu см4 | 686000 | 685890,61 | 0,0159 |
| Момент інерції відносно центральної осі V, Iv см4 | 2454370 | 2454045,832 | 0,0132 |
| Крутильний момент інерції, It см4 | 1859730 | 1859811,661 | 0,0044 |
| Радіус інерції відносно головної осі Y1, Ry мм | 132,169 | 132,16 | 0,0068 |
| Радіус інерції відносно головної осі Z1, Rz мм | 250 | 249,99 | 0,004 |
| Момент опору відносно головної осі Y1, Wy см3 | 23819,444 | 23832,163 | 0,05 |
| Момент опору відносно головної осі Z1, Wz см3 | 49087,4 | 49080,917 | 0,0132 |
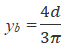
| Координата центру крутіння по осі Y, yb см | 0 | 0 | 0 |
| Координата центру крутіння по осі Z, zb см | 4,244 | 4,243 | 0,0236 |
| Периметр, P мм | 2570,796 | 2570,77 | 0,001 |
Помилка в тексті? Виділіть її та натисніть Ctrl + Enter, щоб повідомити нам.
Коментарі