Ціль:

Деформований стан триступеневої шарнірно-обпертої балки, навантаженої зосередженими силами, без урахування деформації поперечного зсуву. Перевіряються поперечні переміщення та кути повороту.

Література:

Писаренко Г.С., Яковлєв А.П., Матвєєв В.В. Довідник з опору матеріалів. — Київ: Наук. думка, 1988.

Формулювання задачі:

Визначити кути повороту перерізів та поперечні переміщення у місцях прикладання сил.

Опис розрахункової схеми:

Трьохпрогінна шарнірно-підперта балка навантажується трьома зосередженими силами P.

Початкова геометрія аналітичної схеми

Початкова геометрія аналітичної схеми

Початкова геометрія СЕ моделі

Початкова геометрія СЕ моделі

Геометрія:

Довжина напівпрольоту балки кожного перерізу L = 1 м;
Момент інерції I = 5 * 10-6 м4;
Площа поперечного перерізу F = 1 * 10-2 м2;
I1 : I2 : I3 = 1 : 2 : 3;
F1 : F2 : F3 = 1 : 2 : 3

Характеристика матеріалу:

Модуль пружності Е = 2,0 * 1011 Па

Навантаження:

Значення тиску q = 10 кН/м.;
Значення навантаження P = 1 кН.


Результати розрахунку:

Значення поперечних переміщень w (мм)

Значення поперечних переміщень w (мм)

Значення кутів повороту θ (рад*1000)

Значення кутів повороту θ (рад*1000)

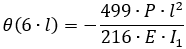
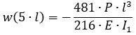
Аналітичне рішення:

При аналітичному розв'язанні кути повороту опорних перерізів та прогини у місцях прикладання зосереджених сил визначаються за формулами:



Порівняння результатів розрахунку:

Параметр Аналітичне рішення LIRA-FEM Похибка, %
Поперечні переміщення, мм
w (l) -3.02 -3.02 0
w (3l) -4.94 -4.94 0
w (5l) -2.23 -2.23 0
Кути повороту θ (рад*1000)
θ (0) 3.27 3.27 0
θ (6l) -2.31 -2.31 0

Завантажити приклад


Помилка в тексті? Виділіть її та натисніть Ctrl + Enter, щоб повідомити нам.



Коментарі

Написати