Ціль:

Навантаження балки, затиснутої по кінцях, в одній площині без урахування деформацій поперечного зсуву. Перевіряються значення максимального поперечного переміщення та вигинаючих моментів.

Література:

Писаренко Г.С., Яковлєв А.П., Матвєєв В.В. Довідник з опору матеріалів. — Київ: Наук. думка, 1988.

Формулювання задачі:

Визначити максимальні поперечне переміщення w та вигинаючі моменти M.

Опис розрахункової схеми:

Балка, затиснена по кінцях, навантажується рівномірно розподіленим навантаженням q.

Початкова геометрія аналітичної схеми

Початкова геометрія аналітичної схеми

Початкова геометрія СЕ моделі

Початкова геометрія СЕ моделі

Геометрія:

Довжина балки L = 3 м;
Момент інерції I = 2,44 * 10-6 м4;
Площа поперечного перерізу F = 14,2 * 10-4 м2

Характеристика матеріалу:

Модуль пружності Е = 2,1 * 1011 Па;
Коефіцієнт Пуассона ν = 0,3

Навантаження:

Рівномірно розподілене навантаження q= 10 кН/м.


Результати розрахунку:

Епюра згинального моменту M(кН*м)

Епюра згинального моменту M(кН*м)

Значення вертикальних переміщень w (мм)

Значення вертикальних переміщень w (мм)

Аналітичне рішення:

При аналітичному рішенні прогин в центрі балки може бути обчислений за наступною формулою («Довідник з опору матеріалів» с. 352):

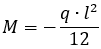
Згинальні моменти в защемленні обчислюються за наступною формулою:

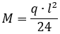
Згинальний момент в центрі балки:

Порівняння результатів розрахунку:

Параметр Аналітичне рішення LIRA-FEM Похибка, %
Вертикальне переміщення в середині прольоту балки, мм -4,32 -4,32 0
Згинальний момент в середині прольоту балки, кН*м 3,75 3,75 0
Згинальний момент на опорі балки, кН*м -7,5 -7,5 0

Завантажити приклад


Помилка в тексті? Виділіть її та натисніть Ctrl + Enter, щоб повідомити нам.



Коментарі

Написати