Ціль:

Комбіноване навантаження (поперечний тиск, зосереджена сила) в одній площині без урахування деформацій поперечного зсуву. Перевіряються переміщення та зусилля.

Література:

Писаренко Г.С., Яковлєв А.П., Матвєєв В.В. Довідник з опору матеріалів. — Київ: Наук. думка, 1988.

Формулювання задачі:

Визначаються переміщення w, кути повороту θ, поперечні сили Q та згинальні моменти M.

Опис розрахункової схеми:

Шарнірно оперта балка навантажується зосередженою силою P і рівномірно розподіленим тиском q.

Початкова геометрія аналітичної схеми

Початкова геометрія аналітичної схеми

Початкова геометрія СЕ моделі

Початкова геометрія СЕ моделі

Геометрія:

Довжина балки L = 3 м;
Момент інерції I = 2,44 * 10-6 м4;
Площа поперечного перерізу F = 14,2 * 10-4 м2;
Геометричні розміри a = b = 1,5 м.

Характеристика матеріалу:

Модуль пружності Е = 2,0 * 1011 Па;
Коефіцієнт Пуассона ν = 0,3.

Навантаження:

Значення тиску q = 10 кН/м;
Значення зосередженої сили F = -5 кН.


Результати розрахунку:

Значення поперечних переміщень w (мм)

Значення кутів повороту θ (рад*1000)

Значення поперечних переміщень w (мм)
Значення кутів повороту θ (рад*1000)

Епюра згинаючого моменту M(кН*м)

Епюра поперечної сили Q (кН)

Епюра згинаючого моменту M(кН*м)
Епюра поперечної сили Q (кН)

Аналітичне рішення:

При аналітичному розв’язанні прогин у точці С може бути обчислений за такою формулою:

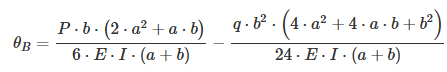
Кут повороту в точці B обчислюється за такою формулою:

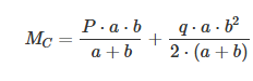
Згинальний момент у точці C обчислюється за такою формулою:

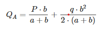
Поперечна сила в точці A

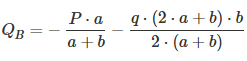
Поперечна сила в точці B обчислюється за такою формулою:

Порівняння результатів розрахунку:

Параметр Аналітичне рішення LIRA-FEM Похибка, %
Прогин в точці С, мм -5,043 -5,043 0
Кут повороту в точці В, рад*1000 -7,204 -7,204 0
Згинаючий момент в точці С, кН 1,875 1,875 0
Поперечна сила в точке A, кН 1,25 1,25 0
Поперечна сила в точке В, кН -8,75 -8,75 0

Завантажити приклад


Помилка в тексті? Виділіть її та натисніть Ctrl + Enter, щоб повідомити нам.



Коментарі

Написати