Перевірка відповідності результатів для моделей різних розмірностей.
M. Courtand et P. Lebelle, Formulaire du beton arme, t.2, Paris, Eyrolles,1976, p. 382.
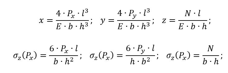
Визначити переміщення вільного кінця x, y, z та максимальне напруження σz в защемленому перерізі .
|
|
|
|
Стержнева модель
|
Оболонкова модель
|
Об'ємна модель
|
Висота консольного стeржня l = 10 м;
Розміри поперечного перерізу консольного стeржня b = h = 0,5 м.
Модуль пружності Е = 3 * 107 кПа;
Коефіцієнт Пуассона μ = 0,2.
Значення зосередженої сили, що діє вздовж осі X загальної системи координат Px = 10 кН (Завантаження 1);
Значення зосередженої сили, що діє вздовж осі У загальної системи координат Py = 10 кН (Завантаження 2);
Значення зосередженої сили, що діє вздовж осі Z загальної системи координат N = 10000 кН (Завантаження 3).
Розрахункова схема - система загального виду.
Розглядаються три розрахункові моделі: Стeржнева модель, 2 елементи, типу 10, 2 вузли;
Оболонкова модель, 20 елементів, типу 44, 33 вузлів;
Об'ємна модель, 10 елементів, типу 36, 44 вузлів.
|
|
|
|
Значення переміщення x, y, z в об'ємній моделі (мм)
|
||
При аналітичному рішенні за недеформованими схемами переміщення вільного кінця x, y, z і максимальне напруження в защемленому перерізі σz визначаються за формулами:
| Модель | Завантаження 1 | ||||
|---|---|---|---|---|---|
| Переміщення x, y, z (мм) | Похибка, % | Напруження σz (кПа) | Похибка, % | ||
| Стержнева | 21,33 | 0 | 4781 | 0,3 | |
| Оболонкова | 21,25 | 0,58 | 5100 | 6,25 | |
| Об'ємна | 21,21 | 0,57 | 4923 | 2,56 | |
| Аналітичне рішення | 21,333 | - | 4800 | - | |
| Модель | Завантаження 2 | ||||
|---|---|---|---|---|---|
| Переміщення x, y, z (мм) | Похибка, % | Напруження σz (кПа) | Похибка, % | ||
| Стержнева | 21,33 | 0 | 4781 | 0,39 | |
| Оболонкова | 21,31 | 0,107 | 4845 | 0,9 | |
| Об'ємна | 21,21 | 0,57 | 4923 | 2,56 | |
| Аналітичне рішення | 21,333 | - | 4800 | - | |
| Модель | Завантаження 3 | ||||
|---|---|---|---|---|---|
| Переміщення x, y, z (мм) | Похибка, % | Напруження σz (кПа) | Похибка, % | ||
| Стержнева | -13,33 | 0 | -40000 | 0 | |
| Оболонкова | -13,33 | 0 | -40000 | 0 | |
| Об'ємна | -13,31 | 0,15 | -40000 | 0 | |
| Аналітичне рішення | -13,33 | - | -40000 | - | |
Помилка в тексті? Виділіть її та натисніть Ctrl + Enter, щоб повідомити нам.
Коментарі