Ціль:

Розрахунок на згин у силовій площині під дією зосередженої сили, без урахування деформацій поперечного зсуву. Перевіряються значення максимального поперечного переміщення w, кута повороту θ та згинального моменту M.

Література:

Писаренко Г.С., Яковлев А.П., Матвеев В.В., Справочник по сопротивлению материалов. — Киев: Наук. думка, 1988, стр. 263.

Формулювання задачі:

Визначити максимальні значення поперечного переміщення w, кута повороту θ та згинального моменту M.

Опис розрахункової схеми:

Консольна балка навантажується на вільному кінці зосередженою силою P.

Початкова геометрія аналітичної схеми

Початкова геометрія аналітичної схеми

Початкова геометрія СЕ моделі

Початкова геометрія СЕ моделі

Геометрія:

Довжина L=3 м;
Момент інерції поперечного перерізу I = 2,44 * 10-6 м4;

Характеристика матеріалу:

Модуль пружності Е = 2,0 * 1011 Па;
Коефіцієнт Пуассона ν = 0,3

Навантаження:

Вертикальна зосереджена сила: Р = 5 кН


Результати розрахунку:

Епюра згинального моменту M

Епюра згинального моменту M, кН*м

Значення поперечних переміщень w (мм)

Значення вертикальних переміщень w, мм

Значення кутів повороту θ (рад*1000)

Значення кутів повороту θ, рад*1000

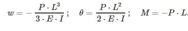
Аналітичне рішення:

При аналітичному розв’язанні максимальні значення вертикального переміщення w, кута повороту θ та згинального моменту M визначаються за такими формулами:

Порівняння результатів розрахунку:

Параметр Аналітичне рішення LIRA-FEM Похибка, %
Вертикальне переміщення w, мм -92,21 -92,21 0
Кут повороту θ, рад 0,04611 46,1 * 10-3 0
Згинальний момент M, кН*м -15,0 -15,0 0

Завантажити приклад


Помилка в тексті? Виділіть її та натисніть Ctrl + Enter, щоб повідомити нам.



Коментарі

Написати