Ціль:

Визначення напруженого стану симетричного клину одиничної товщини при стиску і вигині зосередженими силами.

Література:

Демидов С.П. Теория упругости, М., Высшая школа, 1979.

Формулювання задачі:

Визначити радіальне напруження σrr у полярних координатах на відстані r = 5 м від вершини клину.

Опис розрахункової схеми:

До вершини клину одиничної товщини прикладена сила Р, яка діє:
Варіант 1: уздовж осі симетрії клину;
Варіант 2: перпендикулярно до осі симетрії клину.

Початкова геометрія аналітичної схеми, варіант 1

Початкова геометрія аналітичної схеми, варіант 2

Варіант 1

Варіант 2


Початкова геометрія аналітичної схеми

Початкова геометрія СЕ моделі, варіант 1

Початкова геометрія СЕ моделі, варіант 2

Варіант 1

Варіант 2


Початкова геометрія СЕ моделі

Геометрія:

Товщина клину h = 1 м;
Радіус, що обмежує область клину, R = 15 м;
Кут при вершині клину 2α = 30°.

Характеристика матеріалу:

Модуль пружності Е = 3 * 107 кПа;
Коефіцієнт Пуассона ν = 0,2.

Граничні умови:

В’язі за всіма ступенями вільності по контуру дуги клину.

Навантаження:

Зосереджена сила: Р = 5 кН.

Результати розрахунку:

Розрахункова та деформована схеми, варіант 1

Розрахункова та деформована схеми, варіант 2

Варіант 1

Варіант 2


Розрахункова та деформована схеми

Ізополя напружень σrr (Ny), кН/м2, варіант 1

Ізополя напружень σrr (Ny), кН/м2, варіант 2

Варіант 1

Варіант 2


Ізополя напружень σrr (Ny), кН/м2 (фрагмент схеми)

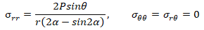
Аналітичне рішення:

Варіант 1:

Варіант 2:

Порівняння результатів розрахунку:

Без додаткових вузлів на сторонах:

Точка Шукана величина Аналітичне рішення LIRA-FEM Похибка, %
r = 5 м Вар. 1 σrr.max, кН/м2 -1,88 -1,8003 4,2394
σrr.min, кН/м2 -1,95 -1,9574 0,3781
Вар. 2 σrr.max, кН/м2 21,8 21,359 2,0229
σrr.min, кН/м2 -21,8 -21,359 2,0229

З використанням додаткових вузлів на сторонах:

Точка Шукана величина Аналітичне рішення LIRA-FEM Похибка, %
r = 5 м Вар. 1 σrr.max, кН/м2 -1,88 -1,8006 4,2234
σrr.min, кН/м2 -1,95 -1,9578 0,3984
Вар. 2 σrr.max, кН/м2 21,8 21,442 1,6422
σrr.min, кН/м2 -21,8 -21,442 1,6422

Завантажити приклад


Помилка в тексті? Виділіть її та натисніть Ctrl + Enter, щоб повідомити нам.



Коментарі

Написати