Ціль:

Визначення критичного значення зовнішнього тиску, рівномірно розподіленого на боковій поверхні циліндричної тонкостінної оболонки, вільно опертої по торцях, та відповідного моменту втрати її стійкості.

Література:

Э. И. Григолюк, В. В. Кабанов, Устойчивость оболочек, Москва, Наука, 1978, стр. 137.
А. С. Вольмир, Устойчивость деформируемых систем, Москва, Наука, 1967, стр. 545.

Формулювання задачі:

Циліндрична тонкостінна оболонка, вільно оперта по торцях, знаходиться під впливом зовнішнього рівномірного тиску q. Визначити критичне значення зовнішнього рівномірного тиску qкр, що відповідає моменту втрати стійкості циліндричної тонкостінної оболонки.

Опис розрахункової схеми:

Розрахункова схема – система загального вигляду. Сітка скінченних елементів розбита з кроком 0,05 м у меридіональному напрямку та з кроком 60 в окружному напрямку.

Початкова геометрія

Початкова геометрія

Геометрія:

Товщина оболонки h = 0,005 м;
Радіус серединної поверхні оболонки R = 0,5 м;
Довжина оболонки L = 1 м.

Характеристика матеріалу:

Модуль пружності матеріалу оболонки E = 2*108 кН/м2;
Коефіцієнт Пуассона v = 0,3.

Граничні умови:

Забезпечення граничних умов на вільно опертих торцях досягається за рахунок накладання в'язів за ступенями вільності Y, Z.
Геометрична незмінність розрахункової схеми забезпечується за рахунок накладання в'язів кінцевої жорсткості (60 елементів типу 51) у вузлах поперечного перерізу площини симетрії циліндричної оболонки у меридіональному напрямку (R = 1 кН/м).

Навантаження:

Початкове значення зовнішнього тиску розподіленого по осі Z1 місцевої системи координат q = 1000 кН/ м2.

Результати розрахунку:

Розрахункова схема

Розрахункова схема

1-ша форма втрати стійкості

1-ша форма втрати стійкості

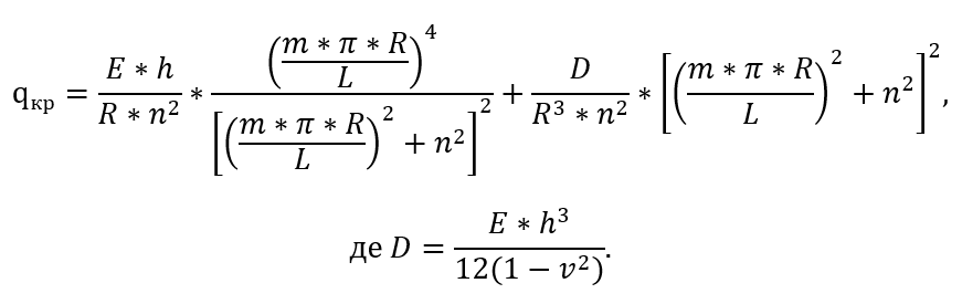
Аналітичне рішення:

При аналітичному рішенні критичне значення зовнішнього рівномірного тиску qкр, що відповідає моменту втрати стійкості циліндричної тонкостінної оболонки, визначається відповідно до теорії пологих оболонок за такою формулою:

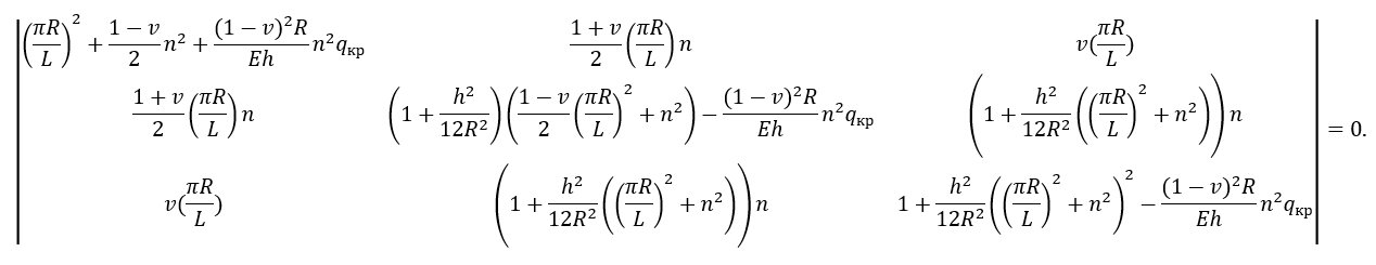
При аналітичному рішенні критичне значення зовнішнього рівномірного тиску qкр, що відповідає моменту втрати стійкості циліндричної тонкостінної оболонки, визначається відповідно до загальної теорії оболонок з умови рівності нулю визначника системи роздільних рівнянь:

Порівняння результатів розрахунку:

Форма втрати стійкості Кількість напівхвиль у меридіанальному напрямку m та хвиль в окружному n напрямку Теорія LIRA-FEM Похибка, %
1 1; 6 981
(917)
947,474 3,42
(3,32)

Без дужок зазначені теоретичні значення, пораховані за теорією пологих оболонок для безмоментного вихідного стану;
У круглих дужках вказані теоретичні значення, пораховані за загальною теорією оболонок для вихідного безмоментного стану.

Завантажити приклад


Помилка в тексті? Виділіть її та натисніть Ctrl + Enter, щоб повідомити нам.



Коментарі

Написати