Ціль:

Розрахунок вигину в площині кільця від дії розподіленої сили, без урахування деформацій поперечного зсуву

Література:

Писаренко Г.С., Яковлев А.П., Матвеев В.В. Справочник по сопротивлению материалов. — Киев: Наук. думка, 1988.

Формулювання задачі:

Визначити нормальну силу у перерізі кільця N та зміни діаметра кільця δ.

Опис розрахункової схеми:

Кільце навантажується в його площині розподіленим навантаженням q.

Початкова геометрія аналітичної схеми

Початкова геометрія СЕ моделі

Початкова геометрія аналітичної схеми
Початкова геометрія СЕ моделі

Геометрія:

Радіус кільця: R = 1 м;
Площа поперечного перерізу: F = 0,001 м2

Характеристика матеріалу:

Модуль пружності Е = 2,0 * 1011 Па;
Коефіцієнт Пуассона μ = 0,3

Навантаження:

Значення розподіленого навантаження q = 100 кН/м


Результати розрахунку:

Епюра нормальної сили N (кН) Значення переміщень δmax (мм)
Епюра нормальної сили N (кН) Значення переміщень δmax (мм)

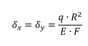
Аналітичне рішення:

При аналітичному рішенні зміна діаметра кільця у напрямках осей x і y визначається за формулами («Довідник з опору матеріалів» стор. 384):

Нормальна сила в перерізі кільця:

Порівняння результатів розрахунку:

Параметри Аналітичне рішення LIRA-FEM Похибка, %
Зміна діаметра кільця δ, мм 0,5 0,5 0
Нормальна сила у перерізі кільця N, кН 100 99,3 0,7

Завантажити приклад


Помилка в тексті? Виділіть її та натисніть Ctrl + Enter, щоб повідомити нам.



Коментарі

Написати