Определение напряженно-деформированного состояния цилиндрической оболочки со свободными торцами от воздействия градиента температуры по толщине.
С.П. Тимошенко. Пластинки и оболочки. — Москва: ОГИЗ. Гостехиздат, 1948.
Цилиндрическая тонкостенная оболочка, свободная от закреплений, находится под воздействием градиента температуры по толщине.
Температуры стенки цилиндра на ее внутренней t1 и внешней t2 поверхностях постоянны, температура по толщине стенки меняется линейно.
Определить компоненты тензора напряжений на внешней и внутренней поверхностях оболочки в меридиональном σx(ext) (σx(int)) и кольцевом σφ(ext) (σφ(int)) направлениях, а также радиальные перемещения w.
Расчетная схема – система общего вида. Сетка конечных элементов разбита с шагом 0,025 м в меридиональном направлении и с шагом 4,50 в кольцевом направлении.
Начальная геометрия
Толщина стенки оболочки h = 0,02 м;
Радиус срединной поверхности стенки оболочки a = 1 м;
Длина оболочки l = 4 м.
Модуль упругости Е = 2,1*108 кПа;
Коэффициент Пуассона ν=0,3.
Геометрическая неизменность расчетной схемы обеспечивается с помощью наложения связей по условиям ее симметрии.
Коэффициент линейного расширения α = 1,2*10-5 1/C0;
Температура на внутренней поверхности стенки цилиндра t1 = 00C;
Температура на внешней поверхности стенки цилиндра t2 = 200C.
Задача решается в пространственной постановке (признак схемы 5).
Для построения схемы использованы КЭ 44 – Универсальный четырехугольный КЭ оболочки.
Количество узлов: 12880. Количество элементов: 12800.
|
Деформированная схема
|
|
|
Значення радіальних переміщень w, мм
|
Значення радіальних переміщень w для фрагмента з центральним кутом 180
|
|
Значение напряжений на внешней поверхности оболочки в меридиональном направлении σx(ext), кН/м2
|
Значение напряжений на внутренней поверхности оболочки в меридиональном направлении σx(int), кН/м2
|
|
Значение напряжений на внешней поверхности оболочки в кольцевом направлении σφ(ext), кН/м2
|
Значение напряжений на внутренней поверхности оболочки в кольцевом направлении σφ(int), кН/м2
|
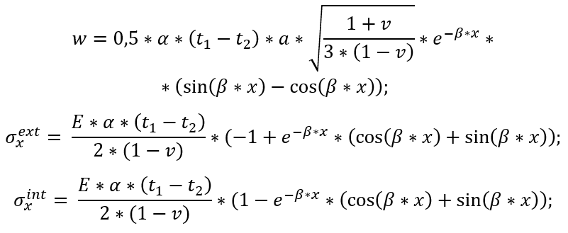
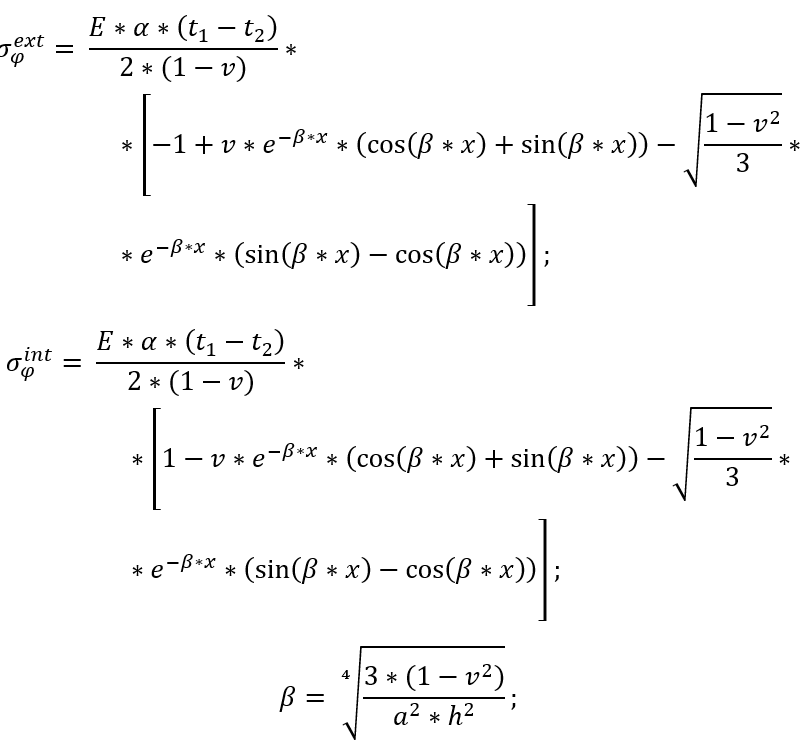
При аналитическом решении напряжений на внешней и внутренней поверхностях оболочки в меридиональном σx(ext) (σx(int)) и кольцевом σφ(ext) (σφ(int)) направлениях, а также радиальные перемещения w могут быть вычислены по таким формулам, которые дают хорошее приближение "в точках находящихся на значительном расстоянии":
Без дополнительных узлов по сторонам:
| x, мм | w, мм | ||
| Теория | LIRA-FEM | Погрешность, % | |
| 0.200 | -0,01861 | -0,017784 | 4,44 |
| 0.250 | -0,01371 | -0,0130339 | 4,93 |
| 0.300 | -0,00814 | -0,00771234 | 5,25 |
| 0.350 | -0,00376 | -0,00355577 | 5,43 |
| 0.400 | -0,00101 | -0,000955758 | 5,37 |
| 0.450 | 0,00036 | 0,000338351 | 6,01 |
| 0.500 | 0,00082 | 0,000769299 | 6,18 |
| 0.550 | 0,00079 | 0,000740913 | 6,21 |
| 0.600 | 0,00057 | 0,000535605 | 6,03 |
| 0.650 | 0,00033 | 0,000313068 | 5,13 |
| 0.700 | 0,00015 | 0,000141903 | 5,40 |
| 0.750 | 0,00004 | 3,62E-05 | 9,54 |
| 0.800 | -0,00002 | -1,56E-05 | 22,07 |
| 0.850 | -0,00004 | -3,22E-05 | 19,61 |
| 0.900 | -0,00003 | -3,03E-05 | -0,90 |
| 0.950 | -0,00002 | -2,15E-05 | -7,41 |
| 1.000 | -0,00001 | -1,22E-05 | -22,39 |
| 1.100 | 0 | -9,92E-07 | - |
| 1.200 | 0 | 1,63E-06 | - |
| 1.300 | 0 | 1,09E-06 | - |
| 1.400 | 0 | 3,65E-07 | - |
| 1.500 | 0 | 0 | - |
| 1.600 | 0 | 0 | - |
| 1.700 | 0 | 0 | - |
| 1.800 | 0 | 0 | - |
| 1.900 | 0 | 0 | - |
| 2.000 | 0 | 0 | - |
| x, мм | σx(ext), кН/м2 | σx(int), кН/м2 | ||||
| Теория | LIRA-FEM | Погрешность, % | Теория | LIRA-FEM | Погрешность, % | |
| 0.200 | 31761 | 30653,1 | 3,49 | -31761 | -30652,3 | 3,49 |
| 0.250 | 35560 | 34937,2 | 1,75 | -35560 | -34937 | 1,75 |
| 0.300 | 37206 | 36935 | 0,73 | -37206 | -36935 | 0,73 |
| 0.350 | 37553 | 37491,7 | 0,16 | -37553 | -37404,2 | 0,40 |
| 0.400 | 37286 | 37324,3 | -0,10 | -37286 | -36719 | 1,52 |
| 0.450 | 36841 | 36910,1 | -0,19 | -36841 | -36255,6 | 1,59 |
| 0.500 | 36441 | 36505,4 | -0,18 | -36441 | -36002,7 | 1,20 |
| 0.550 | 36164 | 36225,9 | -0,17 | -36164 | -35900,5 | 0,73 |
| 0.600 | 36010 | 36136,7 | -0,35 | -36010 | -35885,5 | 0,35 |
| 0.650 | 35945 | 36065,1 | -0,33 | -35945 | -35909,5 | 0,10 |
| 0.700 | 35933 | 36019,3 | -0,24 | -35933 | -35936,9 | -0,01 |
| 0.750 | 35946 | 35995,8 | -0,14 | -35946 | -35945,1 | 0,00 |
| 0.800 | 35965 | 35987,5 | -0,06 | -35965 | -35962,7 | 0,01 |
| 0.850 | 35982 | 35987,4 | -0,02 | -35982 | -35979,6 | 0,01 |
| 0.900 | 35994 | 35991,6 | 0,01 | -35994 | -35991,7 | 0,01 |
| 0.950 | 36000 | 35998,7 | 0,00 | -36000 | -35998,7 | 0,00 |
| 1.000 | 36002 | 36001,8 | 0,00 | -36002 | -36001,8 | 0,00 |
| 1.100 | 36002 | 36002,2 | 0,00 | -36002 | -36001,1 | 0,00 |
| 1.200 | 36001 | 36000,7 | 0,00 | -36001 | -35999,9 | 0,00 |
| 1.300 | 36000 | 36000,2 | 0,00 | -36000 | -35999,7 | 0,00 |
| 1.400 | 36000 | 36000 | 0,00 | -36000 | -35999,8 | 0,00 |
| 1.500 | 36000 | 35999,9 | 0,00 | -36000 | -35999,9 | 0,00 |
| 1.600 | 36000 | 35999,9 | 0,00 | -36000 | -35999,9 | 0,00 |
| 1.700 | 36000 | 35999,9 | 0,00 | -36000 | -35999,9 | 0,00 |
| 1.800 | 36000 | 35999,9 | 0,00 | -36000 | -35999,9 | 0,00 |
| 1.900 | 36000 | 35999,9 | 0,00 | -36000 | -35999,9 | 0,00 |
| 2.000 | 36000 | 35999,9 | 0,00 | -36000 | -35999,9 | 0,00 |
| x, мм | σφ(ext), кН/м2 | σφ(int), кН/м2 | ||||
| Теория | LIRA-FEM | Погрешность, % | Теория | LIRA-FEM | Погрешность, % | |
| 0.200 | 30819 | 30503,8 | 1,02 | -38637 | -38286,8 | 0,91 |
| 0.250 | 32988 | 32629,4 | 1,09 | -38748 | -38731,9 | 0,04 |
| 0.300 | 34652 | 34365,6 | 0,83 | -38072 | -38194,8 | -0,32 |
| 0.350 | 35676 | 35490,6 | 0,52 | -37256 | -37491,9 | -0,63 |
| 0.400 | 36173 | 36075,5 | 0,27 | -36598 | -37324,5 | -1,99 |
| 0.450 | 36328 | 36290,4 | 0,10 | -36176 | -36910,3 | -2,03 |
| 0.500 | 36305 | 36300,6 | 0,01 | -35960 | -36505,5 | -1,52 |
| 0.550 | 36215 | 36210,6 | 0,01 | -35883 | -36210,7 | -0,91 |
| 0.600 | 36123 | 36037,1 | 0,24 | -35883 | -36037,1 | -0,43 |
| 0.650 | 36053 | 35957,7 | 0,26 | -35914 | -35957,7 | -0,12 |
| 0.700 | 36011 | 35936,9 | 0,21 | -35949 | -35942,8 | 0,02 |
| 0.750 | 35991 | 35945,1 | 0,13 | -35976 | -35971,1 | 0,01 |
| 0.800 | 35986 | 35962,7 | 0,06 | -35993 | -35990,1 | 0,01 |
| 0.850 | 35987 | 35979,5 | 0,02 | -36002 | -36000,2 | 0,00 |
| 0.900 | 35991 | 35990,7 | 0,00 | -36005 | -36004,2 | 0,00 |
| 0.950 | 35995 | 35994,4 | 0,00 | -36005 | -36004,7 | 0,00 |
| 1.000 | 35998 | 35997,3 | 0,00 | -36004 | -36003,7 | 0,00 |
| 1.100 | 36000 | 36000,1 | 0,00 | -36001 | -36002,2 | 0,00 |
| 1.200 | 36001 | 36000,5 | 0,00 | -36000 | -36000,8 | 0,00 |
| 1.300 | 36000 | 36000 | 0,00 | -36000 | -36000 | 0,00 |
| 1.400 | 36000 | 35999,8 | 0,00 | -36000 | -35999,8 | 0,00 |
| 1.500 | 36000 | 35999,9 | 0,00 | -36000 | -35999,9 | 0,00 |
| 1.600 | 36000 | 35999,9 | 0,00 | -36000 | -35999,9 | 0,00 |
| 1.700 | 36000 | 35999,9 | 0,00 | -36000 | -35999,9 | 0,00 |
| 1.800 | 36000 | 35999,9 | 0,00 | -36000 | -35999,9 | 0,00 |
| 1.900 | 36000 | 35999,9 | 0,00 | -36000 | -35999,9 | 0,00 |
| 2.000 | 36000 | 35999,9 | 0,00 | -36000 | -35999,9 | 0,00 |
С использованием дополнительных узлов по сторонам:
| x, мм | w, мм | ||
| Теория | LIRA-FEM | Погрешность, % | |
| 0.200 | -0,01861 | -0,0183603 | 1,34 |
| 0.250 | -0,01371 | -0,0135322 | 1,30 |
| 0.300 | -0,00814 | -0,00803914 | 1,24 |
| 0.350 | -0,00376 | -0,00371781 | 1,12 |
| 0.400 | -0,00101 | -0,00100134 | 0,86 |
| 0.450 | 0,00036 | 0,000356277 | 1,03 |
| 0.500 | 0,00082 | 0,000810351 | 1,18 |
| 0.550 | 0,00079 | 0,000781209 | 1,11 |
| 0.600 | 0,00057 | 0,000564917 | 0,89 |
| 0.650 | 0,00033 | 0,000329862 | 0,04 |
| 0.700 | 0,00015 | 0,000148832 | 0,78 |
| 0.750 | 0,00004 | 3,70E-05 | 7,48 |
| 0.800 | -0,00002 | -1,76E-05 | 11,86 |
| 0.850 | -0,00004 | -3,49E-05 | 12,73 |
| 0.900 | -0,00003 | -3,26E-05 | -8,71 |
| 0.950 | -0,00002 | -2,30E-05 | -15,21 |
| 1.000 | -0,00001 | -1,31E-05 | -30,57 |
| 1.100 | 0 | -9,80E-07 | - |
| 1.200 | 0 | 1,79E-06 | - |
| 1.300 | 0 | 1,16E-06 | - |
| 1.400 | 0 | 3,75E-07 | - |
| 1.500 | 0 | 0 | - |
| 1.600 | 0 | 0 | - |
| 1.700 | 0 | 0 | - |
| 1.800 | 0 | 0 | - |
| 1.900 | 0 | 0 | - |
| 2.000 | 0 | 0 | - |
| x, мм | σx(ext), кН/м2 | σx(int), кН/м2 | ||||
| Теория | LIRA-FEM | Погрешность, % | Теория | LIRA-FEM | Погрешность, % | |
| 0.200 | 31761 | 30452,9 | 4,12 | -31761 | -30156,1 | 5,05 |
| 0.250 | 35560 | 34813,7 | 2,10 | -35560 | -34742,8 | 2,30 |
| 0.300 | 37206 | 36882,2 | 0,87 | -37206 | -36920,9 | 0,77 |
| 0.350 | 37553 | 37484,7 | 0,18 | -37553 | -37378,8 | 0,46 |
| 0.400 | 37286 | 37338,4 | -0,14 | -37286 | -36718,3 | 1,52 |
| 0.450 | 36841 | 36928,6 | -0,24 | -36841 | -36263,8 | 1,57 |
| 0.500 | 36441 | 36520,1 | -0,22 | -36441 | -36011,4 | 1,18 |
| 0.550 | 36164 | 36249,5 | -0,24 | -36164 | -35906,7 | 0,71 |
| 0.600 | 36010 | 36153,8 | -0,40 | -36010 | -35888,9 | 0,34 |
| 0.650 | 35945 | 36074,9 | -0,36 | -35945 | -35910,9 | 0,09 |
| 0.700 | 35933 | 36023,4 | -0,25 | -35933 | -35932,3 | 0,00 |
| 0.750 | 35946 | 35996,5 | -0,14 | -35946 | -35940,5 | 0,02 |
| 0.800 | 35965 | 35986,6 | -0,06 | -35965 | -35959,4 | 0,02 |
| 0.850 | 35982 | 35986,1 | -0,01 | -35982 | -35977,7 | 0,01 |
| 0.900 | 35994 | 35991,3 | 0,01 | -35994 | -35990,9 | 0,01 |
| 0.950 | 36000 | 35998,6 | 0,00 | -36000 | -35998,6 | 0,00 |
| 1.000 | 36002 | 36001,9 | 0,00 | -36002 | -36002 | 0,00 |
| 1.100 | 36002 | 36002,3 | 0,00 | -36002 | -36001,1 | 0,00 |
| 1.200 | 36001 | 36000,8 | 0,00 | -36001 | -35999,9 | 0,00 |
| 1.300 | 36000 | 36000,2 | 0,00 | -36000 | -35999,7 | 0,00 |
| 1.400 | 36000 | 36000 | 0,00 | -36000 | -35999,8 | 0,00 |
| 1.500 | 36000 | 35999,9 | 0,00 | -36000 | -35999,9 | 0,00 |
| 1.600 | 36000 | 35999,9 | 0,00 | -36000 | -35999,9 | 0,00 |
| 1.700 | 36000 | 35999,9 | 0,00 | -36000 | -35999,9 | 0,00 |
| 1.800 | 36000 | 35999,9 | 0,00 | -36000 | -35999,9 | 0,00 |
| 1.900 | 36000 | 35999,9 | 0,00 | -36000 | -35999,9 | 0,00 |
| 2.000 | 36000 | 35999,9 | 0,00 | -36000 | -35999,9 | 0,00 |
| x, мм | σφ(ext), кН/м2 | σφ(int), кН/м2 | ||||
| Теория | LIRA-FEM | Погрешность, % | Теория | LIRA-FEM | Погрешность, % | |
| 0.200 | 30819 | 30039,6 | 2,53 | -38637 | -38049 | 1,52 |
| 0.250 | 32988 | 32260,6 | 2,21 | -38748 | -38583,1 | 0,43 |
| 0.300 | 34652 | 34135,5 | 1,49 | -38072 | -38121 | -0,13 |
| 0.350 | 35676 | 35379,9 | 0,83 | -37256 | -37557,5 | -0,81 |
| 0.400 | 36173 | 36043,9 | 0,36 | -36598 | -37405,9 | -2,21 |
| 0.450 | 36328 | 36300,1 | 0,08 | -36176 | -36976,3 | -2,21 |
| 0.500 | 36305 | 36324,6 | -0,05 | -35960 | -36547,2 | -1,63 |
| 0.550 | 36215 | 36219,1 | -0,01 | -35883 | -36230,9 | -0,97 |
| 0.600 | 36123 | 36040,3 | 0,23 | -35883 | -36042,8 | -0,45 |
| 0.650 | 36053 | 35957,7 | 0,26 | -35914 | -35955,8 | -0,12 |
| 0.700 | 36011 | 35935,4 | 0,21 | -35949 | -35943,1 | 0,02 |
| 0.750 | 35991 | 35943,4 | 0,13 | -35976 | -35970,9 | 0,01 |
| 0.800 | 35986 | 35961,4 | 0,07 | -35993 | -35989,8 | 0,01 |
| 0.850 | 35987 | 35978,7 | 0,02 | -36002 | -36000 | 0,01 |
| 0.900 | 35991 | 35989,5 | 0,00 | -36005 | -36004,1 | 0,00 |
| 0.950 | 35995 | 35993,6 | 0,00 | -36005 | -36004,7 | 0,00 |
| 1.000 | 35998 | 35996,9 | 0,00 | -36004 | -36003,7 | 0,00 |
| 1.100 | 36000 | 36000,1 | 0,00 | -36001 | -36002,4 | 0,00 |
| 1.200 | 36001 | 36000,5 | 0,00 | -36000 | -36000,8 | 0,00 |
| 1.300 | 36000 | 36000 | 0,00 | -36000 | -36000 | 0,00 |
| 1.400 | 36000 | 35999,8 | 0,00 | -36000 | -35999,8 | 0,00 |
| 1.500 | 36000 | 35999,9 | 0,00 | -36000 | -35999,9 | 0,00 |
| 1.600 | 36000 | 35999,9 | 0,00 | -36000 | -35999,9 | 0,00 |
| 1.700 | 36000 | 35999,9 | 0,00 | -36000 | -35999,9 | 0,00 |
| 1.800 | 36000 | 35999,9 | 0,00 | -36000 | -35999,9 | 0,00 |
| 1.900 | 36000 | 35999,9 | 0,00 | -36000 | -35999,9 | 0,00 |
| 2.000 | 36000 | 35999,9 | 0,00 | -36000 | -35999,9 | 0,00 |
Заметили ошибку? Выделите ее и нажмите Ctrl+Enter, чтобы сообщить нам.
Комментарии