Тест 1.33 Плоска система з двох співвісних стержнів під дією зміни температури
Змінено 12.12.2025 | Створено 12.12.2025
Ціль:
Визначення напружено-деформованого стану балки, защемленої з двох кінців, від дії рівномірно розподіленого навантаження, зосереджених поздовжніх та поперечних сил і згинаючого моменту.
Література:
С.П. Тимошенко, Опір матеріалів, тому перший: Елементарна теорія та завдання, Москва, Наука, 1965, стор.35.
Формулювання задачі:
Визначити нормальні напруги у поперечних перерізах стрижнів системи.
Опис розрахункової схеми:
Система складається з двох співвісних горизонтальних стрижнів квадратного поперечного перерізу, жорстко з'єднаних у загальному вузлі та жорстко защемлених протилежними вузлами.
Система піддається дії від зміни температури Δt щодо температури збирання.
Початкова геометрія аналітичної схеми
Початкова геометрія СЕ моделі
Геометрія:
Довжина лівого стержня L1 = 100 см;
Довжина правого стержня L2 = 100 см;
Площа поперечного перерізу лівого стержня F1 = 1,0 см
Площа поперечного перерізу лівого стержня F2 = 2,0 см
Характеристика матеріалу:
Модуль пружності сталі Еs = 2,0 * 106 кг/см2;
Коефіцієнт лінійного температурного розширення сталі αs = 1,25 * 10-5 1/ ºC
Навантаження:
Зміна температури системи Δt = 60 ºC
Примітка:
Розрахункова схема – плоска рама, 2 елементи типу 2.
Забезпечення граничних умов досягається за рахунок накладання зв'язків у крайніх вузлах системи за напрямами ступенів свободи X, Z, UY. Вплив від зміни температури системи Δt щодо температури складання визначається рівномірним вздовж поздовжніх осей всіх стрижневих елементів. Кількість вузлів у розрахунковій схемі – 3.
Результати розрахунку:
Епюра поздовжніх сил N (кг)
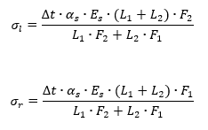
Аналітичне рішення:
При аналітичному рішенні нормальні напруження у поперечних перерізах стержнів системи визначаються за наступними формулами:
Коментарі